Upgrade to Pro — share decks privately, control downloads, hide ads and more …

Práctica Math

Sponsored · Your Podcast. Everywhere. Effortlessly. Share. Educate. Inspire. Entertain. You do you. We'll handle the rest.
Avatar for agustin agustin
November 21, 2012
200

Práctica Math

Avatar for agustin

agustin

November 21, 2012
Tweet

Transcript

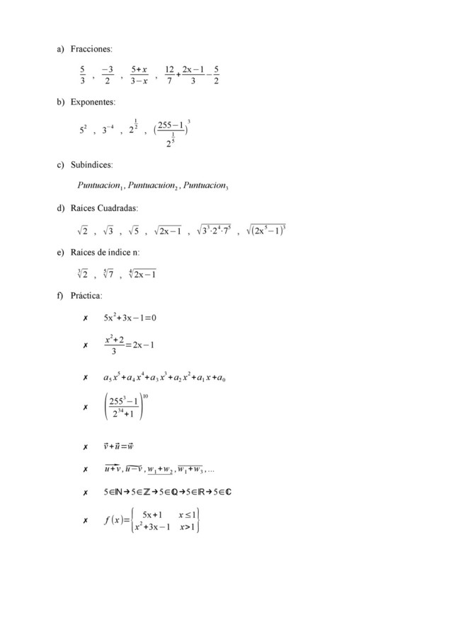
  1. a) Fracciones: 5 3 , −3 2 , 5+ x

    3−x , 12 7 + 2x−1 3 − 5 2 b) Exponentes: 52 , 3−4 , 2 1 2 , ( 255−1 2 1 5 ) 3 c) Subíndices: Puntuacion 1 , Puntuacuion 2 , Puntuacion 3 d) Raíces Cuadradas: √2 , √3 , √5 , √2x−1 , √33⋅24⋅75 , √(2x5−1)3 e) Raíces de índice n: 3 √2 , 5 √7 , 4 √2x−1 f) Práctica: ✗ 5x2+3x−1=0 ✗ x2+2 3 =2x−1 ✗ a 5 x5+a 4 x4+a 3 x3+a 2 x2+a 1 x+a 0 ✗ (2553−1 234+1 )10 ✗ ⃗ v+⃗ u=⃗ w ✗ ⃗ u+v ,̃ u−v ,w 1 +w 2 ,w 1 +w 3 ,... ✗ 5∈ℕ→5∈ℤ→5∈ℚ→5∈ℝ→5∈ℂ ✗ f (x)= { 5x+1 x≤1 x2+3x−1 x>1 }