Upgrade to Pro — share decks privately, control downloads, hide ads and more …

Math

Avatar for david castro david castro
November 22, 2012
150

 Math

Avatar for david castro

david castro

November 22, 2012
Tweet

Transcript

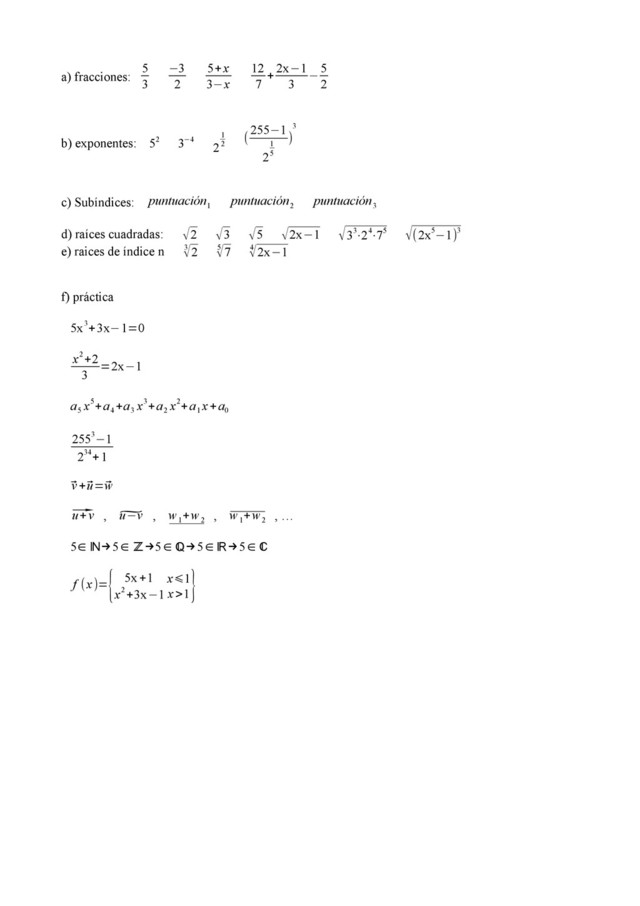
  1. a) fracciones: 5 3 −3 2 5+x 3−x 12 7

    + 2x−1 3 − 5 2 b) exponentes: 52 3−4 2 1 2 ( 255−1 2 1 5 ) 3 c) Subíndices: puntuación 1 puntuación 2 puntuación 3 d) raíces cuadradas: √2 √3 √5 √2x−1 √33⋅24⋅75 √(2x5−1)3 e) raices de índice n 3 √2 5 √7 4 √2x−1 f) práctica 5x3+3x−1=0 x2+2 3 =2x−1 a 5 x5+a 4 +a 3 x3+a 2 x2+a 1 x+a 0 2553−1 234+1 ⃗ v+⃗ u=⃗ w ⃗ u+v , ̃ u−v , w 1 +w 2 , w 1 +w 2 , … 5∈ ℕ→5∈ ℤ→5∈ ℚ→5∈ ℝ→5∈ ℂ f (x)= { 5x+1 x2+3x−1 x⩽1 x>1 }