Upgrade to Pro — share decks privately, control downloads, hide ads and more …

Math

Sponsored · Your Podcast. Everywhere. Effortlessly. Share. Educate. Inspire. Entertain. You do you. We'll handle the rest.
Avatar for PatriAlbb PatriAlbb
November 21, 2012
120

 Math

Avatar for PatriAlbb

PatriAlbb

November 21, 2012
Tweet

Transcript

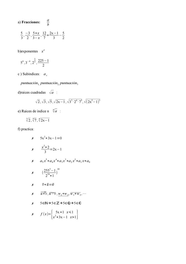
  1. a) Fracciones: a b 5 3 ,−3 2 , 5+x

    3−x , 12 7 + 2x−1 3 − 5 2 b)exponentes xa 54 ,3−4 ,2 1 2 , 225−1 2 c ) Subíndices: a x puntuación 1, puntuación 2, puntuación 3 d)raices cuadradas √a : √2 ,√3 ,√5 ,√2x−1 ,√33 ·24 ·75 ,√(2x5−1)3 e) Raices de indice n n √a : 3 √2 , 5 √7 , 4 √2x−1 f) practica: ✗ 5x2+3x−1=0 ✗ x2+2 3 =2x−1 ✗ a 5 x5+a 4 x4+a 3 x3+a 2 x2+a 1 x+a 0 ✗ ( 2553−1 234+1 ) 10 ✗ ⃗ v+⃗ u=⃗ w ✗ ⃗ u+v ,̃ u−v ,w 1 +w 2 ,w 1 +w 2 ,⋯ ✗ 5∈ℕ→5∈ℤ→5∈ℚ→5∈ℂ ✗ f (x)= { 5x+1 x⩽1 x2+3x−1 x>1 }