Upgrade to Pro — share decks privately, control downloads, hide ads and more …

-Math-

Sponsored · Your Podcast. Everywhere. Effortlessly. Share. Educate. Inspire. Entertain. You do you. We'll handle the rest.
Avatar for Clarimoni Clarimoni
November 21, 2012
170

 -Math-

Avatar for Clarimoni

Clarimoni

November 21, 2012
Tweet

Transcript

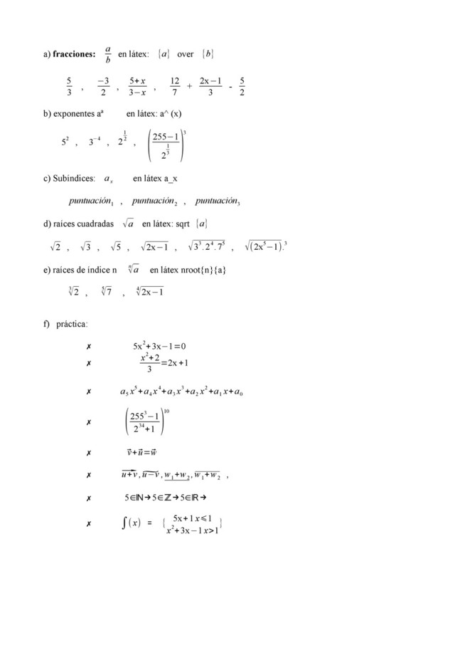
  1. a) fracciones: a b en látex: {a} over {b} 5

    3 , −3 2 , 5+ x 3−x , 12 7 + 2x−1 3 - 5 2 b) exponentes aª en látex: a^ (x) 52 , 3−4 , 2 1 2 , (255−1 2 1 3 )3 c) Subíndices: a x en látex a_x puntuación 1 , puntuación 2 , puntuación 3 d) raíces cuadradas √a en látex: sqrt {a} √2 , √3 , √5 , √2x−1 , √33.24.75 , √(2x5−1).3 e) raíces de índice n n √a en látex nroot{n}{a} 3 √2 , 5 √7 , 4 √2x−1 f) práctica: ✗ 5x2+3x−1=0 ✗ x2+2 3 =2x+1 ✗ a 5 x5+a 4 x4+a 3 x3+a 2 x2+a 1 x+a 0 ✗ (2553−1 234+1 )10 ✗ ⃗ v+⃗ u=⃗ w ✗ ⃗ u+v ,̃ u−v ,w 1 +w 2 ,w 1 +w 2 , ✗ 5∈ℕ→5∈ℤ→5∈ℝ→ ✗ ∫( x) = { 5x+1 x⩽1 x2+3x−1 x>1 }