Upgrade to Pro — share decks privately, control downloads, hide ads and more …

formulas.pdf

Avatar for Javier Javier
November 22, 2012
170

 formulas.pdf

Avatar for Javier

Javier

November 22, 2012
Tweet

Transcript

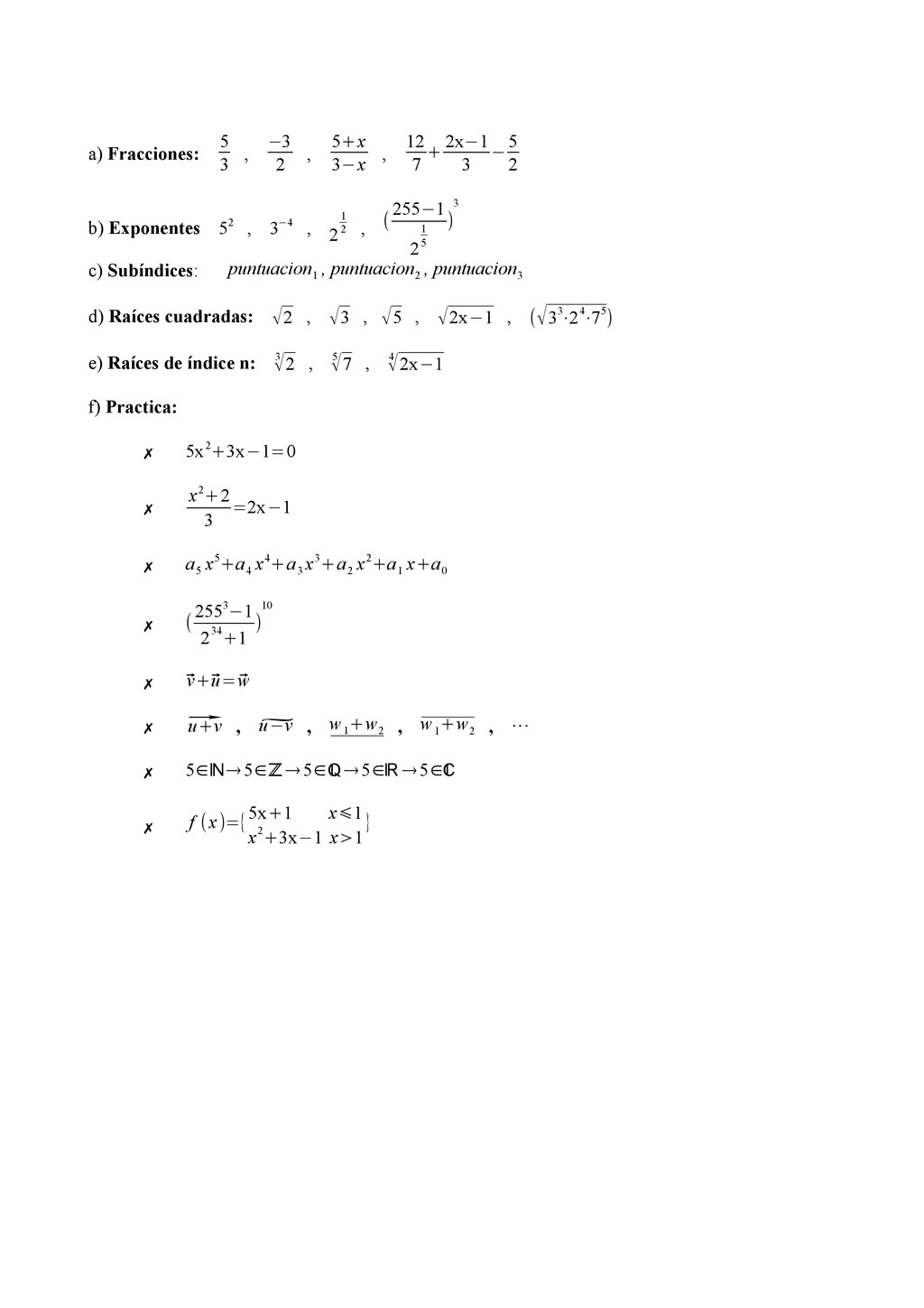
  1. a) Fracciones: 5 3 , −3 2 , 5+x 3−x

    , 12 7 + 2x−1 3 − 5 2 b) Exponentes 52 , 3−4 , 2 1 2 , ( 255−1 2 1 5 ) 3 c) Subíndices: puntuacion 1 , puntuacion 2 , puntuacion 3 d) Raíces cuadradas: √2 , √3 , √5 , √2x−1 , (√33⋅24⋅75) e) Raíces de índice n: 3 √2 , 5 √7 , 4 √2x−1 f) Practica: ✗ 5x2+3x−1=0 ✗ x2+2 3 =2x−1 ✗ a 5 x5+a 4 x4+a 3 x3+a 2 x2+a 1 x+a 0 ✗ ( 2553−1 234+1 ) 10 ✗ ⃗ v+⃗ u=⃗ w ✗ ⃗ u+v , ̃ u−v , w 1 +w 2 , w 1 +w 2 , ⋯ ✗ 5∈ℕ→5∈ℤ→5∈ℚ→5∈ℝ →5∈ℂ ✗ f (x)={ 5x+1 x⩽1 x2+3x−1 x>1 }