Upgrade to Pro — share decks privately, control downloads, hide ads and more …

102年03月份捐物資料名細表

Sponsored · Your Podcast. Everywhere. Effortlessly. Share. Educate. Inspire. Entertain. You do you. We'll handle the rest.

 102年03月份捐物資料名細表

Transcript

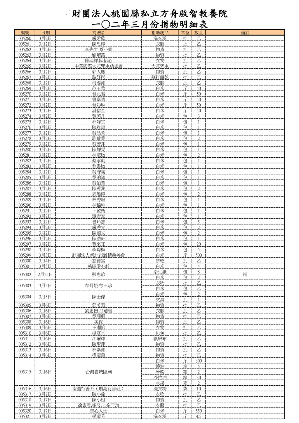
  1. 編號 日期 捐贈者 捐助物品 單位 數量 備註 005260 3月2日 盧孟欣

    洗衣粉 批 乙 005261 3月2日 陳思婷 衣服 批 乙 005262 3月2日 李先生-蔡小姐 物資 批 乙 005263 3月2日 劉堉菖 物資 批 乙 005264 3月2日 陳瑞祥.陳怡心 衣物 批 乙 005265 3月2日 中華國際大悲咒水功德會 大悲咒水 批 乙 005266 3月2日 郭人鳳 物資 批 乙 005267 3月2日 詩妤彤 蘇打餅乾 批 乙 005268 3月2日 柯姿如 衣服 批 乙 005269 3月2日 范玉華 白米 斤 50 005270 3月2日 曾兆君 白米 斤 50 005271 3月2日 曾嘉皓 白米 斤 50 005272 3月2日 曾彩琳 白米 斤 50 005273 3月2日 潘信全 白米 斤 50 005274 3月2日 黃苪凡 白米 包 3 005275 3月2日 林靜宜 白米 包 1 005276 3月2日 陳雅惠 白米 包 1 005277 3月2日 吳品萱 白米 包 1 005278 3月2日 許駿業 白米 包 2 005279 3月2日 吳芳萍 白米 包 1 005280 3月2日 陳靜雯 白米 包 1 005281 3月2日 林淑敏 白米 包 2 005282 3月2日 蔡承勳 白米 包 1 005283 3月2日 翁書敏 白米 包 1 005284 3月2日 吳守義 白米 包 1 005285 3月2日 吳泊諺 白米 包 1 005286 3月2日 吳泊葦 白米 包 1 005287 3月2日 陳菀菱 白米 包 2 005288 3月2日 周曉婷 白米 包 2 005289 3月2日 林秀燈 白米 包 1 005290 3月2日 林錦坤 白米 包 1 005291 3月2日 卜盈甄 白米 包 1 005292 3月2日 謝青宏 白米 包 1 005293 3月2日 曾玲慈 白米 包 5 005294 3月2日 盧秀宜 白米 包 2 005295 3月2日 陳國文 白米 包 2 005296 3月2日 陳浩軒 白米 包 1 005297 3月2日 曹來旺 白米 包 20 005298 3月2日 李琮梅 白米 包 5 005299 3月3日 社團法人新北市潍精慈善會 白米 斤 500 005300 3月4日 慈德宮 餅乾 批 乙 005301 3月5日 慈暉愛心社 白米 包 4 衛生紙 包 8 白米 包 2 衣物 批 乙 白米 包 乙 白米 包 2 文具 批 1 005305 3月6日 郭美君 物資 批 乙 005306 3月6日 劉忠嶨.呂蕙善 衣服 批 乙 005307 3月6日 吳珊珊 物資 批 乙 005308 3月6日 美保 物資 批 乙 005309 3月6日 王湘怡 衣物 批 乙 005310 3月6日 楊庭宜 包包 批 乙 005311 3月6日 江曜輝 紙尿布 批 乙 005312 3月6日 陳聖萍 物資 批 乙 005313 3月6日 林素如 物資 批 乙 005314 3月6日 權淑蕙 物資 批 乙 白米 斤 300 醬油 箱 5 米粉 箱 2 沙拉油 箱 30 水果 箱 2 005316 3月6日 南瀛行善系(環島行善社) 洗衣粉 袋 10 005317 3月7日 陳小瑜 衣物 批 乙 005318 3月7日 陳小姐 物資 批 乙 005319 3月7日 徐素雲.崔又之.崔予瑄 衣服 批 乙 005320 3月7日 善心人士 白米 斤 550 005321 3月7日 楊淑芳 洗衣粉 斤 4.5 財團法人桃園縣私立方舟啟智教養院 ㄧ◦二年三月份捐物明細表 張惠珍 2月25日 005302 補 台灣省城隍廟 3月6日 005315 韋月娥.徐玉珍 3月5日 005303 陳士傑 3月5日 005304
  2. 洗衣精 瓶 3 排骨 斤 60 005323 3月8日 財團法人台北縣三峽長福嚴清水祖師公 白米

    斤 500 005324 3月8日 財團法人台北縣三峽長福嚴清水祖師公 橄欖油 箱 3 005325 3月8日 善心人士 白米 斤 50 005326 3月9日 游輝結-游張葉子 物資 批 乙 005327 3月9日 宇元軒文事業有限公司 燈籠 批 乙 005328 3月9日 吳瑋霖 洗衣粉 批 乙 005329 3月9日 劉明信 物資 批 乙 005330 3月9日 蘇信章 物資 批 乙 005331 3月11日 善心人士 白米 包 2 005332 3月11日 玄音廟善堂 白米 斤 500 005333 3月11日 魏慧玟 洗衣粉 包 4 005334 3月11日 洪安勳 洗衣粉 包 8 005335 3月12日 賴惠玲 衣物 批 乙 005336 3月12日 陸立營造有限公司 洗衣粉 包 6 005337 3月12日 陳美如 衣物 批 乙 005338 3月12日 張洪素蘭 白米 斤 50 005339 3月12日 簡長稜 白米 包 乙 005340 3月13日 王耿祥 物資 批 乙 005341 3月13日 魏玉靜 衣物 批 乙 005342 3月13日 蔡淑美 物資 批 乙 食品 批 乙 日用品 批 乙 005344 3月13日 王令興 物資 批 乙 005345 3月13日 張小姐 日用品 批 乙 005346 3月13日 王緗慈 衣物 件 2 005347 3月13日 圓剛科技 衣物 箱 10 005348 3月3日 吳佳勇 洗衣粉 包 2 005349 3月13日 陳國平 洗衣粉 包 2 005350 3月13日 陳佳君 洗衣粉 包 1 005351 3月13日 吳佩茹 洗衣粉 包 1 005352 3月13日 姜義彬 洗衣粉 斤 100 005353 3月13日 吳佳勇 衛生棉 批 乙 005354 3月14日 愛玩龍旅遊據樂部-捐贈團員 洗衣粉 箱 12 005355 3月14日 劉秀蓉 衛生紙 箱 2 005356 3月14日 賴怡君 衛生紙 箱 2 005357 3月14日 陳聖如 衛生紙 箱 2 005358 3月14日 陳聖琪 衛生紙 箱 2 005359 3月16日 徐晨芳 白米 包 1 005360 3月16日 徐惠智 白米 包 1 005361 3月16日 徐晨庭 白米 包 1 花瓶 個 2 衣服 袋 3 衣服 袋 2 花瓶 個 2 005364 3月16日 徐惠智 衣服 袋 1 衣服 袋 2 花瓶 個 2 衣服 袋 2 花瓶 個 2 衣服 袋 2 花瓶 個 2 005368 3月16日 蔡永銘.黃千玲 花瓶 個 2 005369 3月16日 盧郁晴.劉家萱 花瓶 個 2 005370 3月16日 盧建安.盧鵬翔.盧鵬升 花瓶 個 2 005371 3月16日 林信錕.黃楷茹 花瓶 個 2 005372 3月16日 簡顯藻.蔡麗珠 花瓶 個 2 005373 3月16日 王裕碧.蔡秀玲 花瓶 個 2 005374 3月16日 蕭興龍.魏貴女 花瓶 個 2 005375 3月16日 劉淑滿.曹仁政 花瓶 個 2 005376 3月16日 林源隆.葉麗香 花瓶 個 2 005377 3月16日 林偵宇.林偵治 花瓶 個 2 005378 3月16日 顏泊君 花瓶 個 2 005379 3月16日 張順閔.陳碧珠 花瓶 個 2 005380 3月16日 張紘嘉.張紘瑜 花瓶 個 2 005381 3月16日 陳進坤.蔡佩珊 花瓶 個 2 花瓶 個 2 衣服 袋 1 花瓶 個 2 衣服 袋 1 花瓶 個 2 衣服 袋 1 005385 3月16日 羅月蘭 花瓶 個 2 環島行善南瀛行善系-善心人士 3月7日 005322 林育興 3月13日 005343 謝風美 3月16日 005362 3月16日 005366 黃素娥.林坤澋 3月16日 005367 簡瑞萱.簡祥安 張惠淇.張揚捷 3月16日 005363 林婉如.林萱萱 3月16日 005365 林珉崧.林芷含.林鑫綠 3月16日 005382 陳清江 3月16日 005383 蔡孟岳.蔡佳欣 3月16日 005384
  3. 花瓶 個 2 衣服 袋 1 飲料 箱 2 花瓶

    個 2 衣服 袋 1 花瓶 個 2 衣服 袋 2 花瓶 個 2 衣服 袋 1 花瓶 個 2 衣服 袋 2 005391 3月16日 李憲瑞.戴桂珍 花瓶 個 2 醬油 瓶 3 飲料 箱 1 洗衣粉 包 10 電風扇 台 1 電暖爐 台 1 衣物 批 1 005394 3月17日 陳樹菊等11名善心大德 洗衣膏 桶 10 糖果 批 乙 麵包 批 乙 麵線 批 乙 005396 3月18日 劉小姐 物資 批 乙 005397 3月18日 王緗慈 物資 批 乙 005398 3月18日 李珊容 物資 批 乙 005399 3月18日 嚴小姐 鞋子 批 乙 005400 3月18日 洪安勳 洗衣粉 箱 2 005401 3月18日 黃鼎祐 洗衣粉 批 1 005402 3月18日 黃慶光 高麗蔡 粒 400 洗髮精 瓶 12 淋浴乳 瓶 12 沙拉油 瓶 6 005404 005405 3月19日 程盛華 衣物 批 乙 005406 3月19日 彭婕恩 衣物 批 乙 衣物 批 乙 鞋子 批 乙 005408 3月19日 賴麗萍 衣物 批 乙 005409 3月19日 周柏霖 物資 批 乙 005410 3月19日 洪槿光 物資 批 乙 005411 3月19日 中華國際大悲咒水功德會 大悲咒水 箱 6 005412 3月19日 善心人士等 物資 批 乙 005413 3月20日 許宇志 白米 包 乙 005414 白米 包 18 白米 包 3 005416 3月20日 莊景鈞 洗衣粉 包 20 005417 3月22日 朱小姐 白米 斤 500 005418 3月22日 福智佛教基金會 餅乾 批 乙 005419 3月24日 張寶桂 百米 斤 12 白米 包 6 鹽 包 24 衣物 批 乙 水果 批 乙 005421 3月25日 董宛昀 衣服 批 乙 005422 3月25日 吳必勝 衣服 批 乙 005423 3月25日 衷明芝 衣服 批 乙 005424 3月25日 劉幸娟 衣服 批 乙 005425 3月25日 鐘英哲 棉花糖 批 乙 005426 3月25日 葉惠琳.劉月菊.張巧蓉.張兆興 白米 斤 32 005427 3月25日 葉武明.羅庭穎.葉佳翰 白米 斤 12 005428 3月25日 戴玉華 大燕麥片 斤 3.3 005429 3月25日 黃順治 大燕麥片 斤 1.67 005430 3月25日 曾筑瑄 大燕麥片 斤 3.3 005431 3月25日 徐明鴻.徐媛瑩.徐孟涵 大燕麥片 斤 16.73 白米 批 乙 物資 批 乙 005433 3月25日 MOMO保護膜門市 洗衣粉 包 12 005434 3月27日 林正立 白米 斗 5 005435 3月27日 吳秀美 白米 斗 5 005436 3月27日 沈家綺 衣物 批 乙 005437 3月27日 洪詩雯 日用品 批 乙 005438 3月27日 康璿華 衣物 箱 2 作廢 范慧玲 3月19日 005407 王亦庭.王鎮瑋.王怡萱 3月16日 005386 林厚庭 3月16日 005387 蔡束蓮.邱瑞智 3月16日 005388 劉順振.陳美蓉 3月16日 005389 邱于庭.邱于潔 3月16日 005390 陳炳華.施曉易 3月16日 005392 桃園縣社會教育協進會 3月16日 005393 無極東華聖宮 3月17日 005395 游千慧.鍾初惠.胡美紅.金政英 3月18日 005403 作廢 聖福宮 3月20日 005415 慈玄宮 3月24日 005420 善心人士 3月25日 005432
  4. 005439 3月27日 李冠緯 物資 批 乙 005440 005441 3月27日 紀孟蓁

    衣物 批 乙 005442 3月27日 洪佳如 物資 批 乙 005443 2月2日 大同行善會 白米 斤 50 補 005444 3月27日 古寶珠 白米 包 2 白米 包 2 高麗菜 批 乙 泡菜 批 乙 淋浴乳 瓶 2 洗髮精 瓶 2 005446 3月28日 新屋鄉農會 衛生紙 箱 2 005447 3月29日 蔡哲輝 洗髮精 批 乙 005448 3月18日 東京資產管理顧問有限公司 洗衣粉 包 100 005449 3月29日 田園花語 雞蛋 斤 5 005450 3月29日 張育華 淋浴乳 瓶 6 005451 3月29日 張秀春 物資 批 乙 005452 3月29日 王優鎂 物資 批 乙 005453 3月29日 葉銀嬌 物資 批 乙 005454 3月29日 洪素蘭 物資 批 乙 005455 3月29日 梁有龍 物資 批 乙 005456 3月29日 飄香飲食店-黃瑜茗 物資 批 乙 005457 3月29日 黃哲鋆 物資 批 乙 005458 3月30日 善心人 白米 斤 100 005459 3月30日 善心人 白米 斤 100 005460 3月30日 善心人 白米 斤 100 005461 3月30日 善心人 白米 斤 140 005462 3月30日 善心人 白米 斤 25 005463 3月30日 善心人 白米 斤 50 005464 3月30日 善心人 白米 斤 100 005465 3月30日 善心人 白米 斤 20 005466 3月30日 善心人 白米 斤 30 005467 3月30日 善心人 白米 斤 100 005468 3月30日 善心人 白米 斤 75 005469 3月30日 善心人 白米 斤 100 005470 3月30日 善心人 白米 斤 50 005471 3月30日 善心人 白米 斤 25 005472 3月30日 善心人 白米斤 斤 60 005473 3月30日 善心人 白米 斤 30 005474 3月30日 善心人 白米 斤 30 005475 3月30日 善心人士 白米 斤 35 005476 3月30日 沈秀凌 白米 斤 25 005477 3月30日 李春花 白米 斤 25 壽桃麵塔 對 2 壽珠 隻 1 關廟麵 箱 1 米粉 箱 2 冬粉 箱 2 鍋燒麵 箱 2 餅乾 箱 3 水果 箱 4 食品 批 1 005480 3月30日 李安宏閤家 白米 斤 60 005481 3月30日 財團法人中壢慈惠堂 白米 斤 1000 005482 3月30日 蔣明昌 供品 箱 1 005483 3月30日 陳秋悧 供品 箱 1 005484 3月30日 蔣宗澄 供品 箱 1 005485 3月30日 善心人等 水果 箱 2 005485 3月30日 林世銓 白米 斤 4000 005487 3月30日 林芷青 白米 斤 8000 005488 3月30日 雷夢婷 白米 斤 200 005489 3月30日 張嘉麟 白米 斤 500 005491 3月30日 陳秀玉 白米 斤 200 005492 3月30日 高志明 白米 斤 300 005493 3月30日 永安公司 白米 斤 700 005494 3月31日 張建國.張家榮.郭怡真 白米 斤 20 . 005495 3月31日 蔡鵬申 二手衣物 批 乙 005496 3月31日 蔡鵬申 物資 批 乙 作廢 新屋鄉農會 3月28日 005445 善心人等 3月30日 005478 善心人等 3月30日 005479