Upgrade to Pro — share decks privately, control downloads, hide ads and more …

Math

Sponsored · Your Podcast. Everywhere. Effortlessly. Share. Educate. Inspire. Entertain. You do you. We'll handle the rest.
Avatar for sergio sergio
November 22, 2012

 Math

Avatar for sergio

sergio

November 22, 2012
Tweet

More Decks by sergio

Other Decks in Education

Transcript

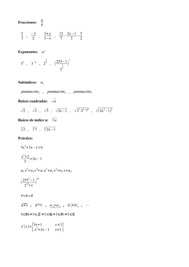
  1. Fracciones: a b 5 3 , −3 2 , 5+

    x 3−x , 12 7 − 2x−1 3 − 5 2 Exponentes: ax 52 , 3−4 , 2 1 2 , ( 255−1 2 1 5 ) 3 Subíndices: a x puntuación 1 , puntuación 2 , puntuación 3 Raíces cuadradas: √a √2 , √3 , √5 , √2x−1 , √33⋅24⋅75 , √(2x5−1)3 Raíces de indice n: n √a 3 √2 , 5 √7 , 4 √2x−1 Práctica: 5x2+3x−1=0 x2+2 3 =2x−1 a 5 x5+a 4 x4+a 3 x3+a 2 x2+a 1 x+a 0 ( 2553−1 234+1 ) 10 ⃗ v+⃗ u=⃗ w ⃗ u+v , ̃ u−v , w 1 +w 2 , w 1 +w 2 , ⋯ 5∈ℕ→5∈ℤ→5∈ℚ→5∈ℝ→5∈ℂ f (x)= {5x+1 x⩽1 x2+3x−1 x>1 }