Upgrade to Pro — share decks privately, control downloads, hide ads and more …

formulas.pdf

Sponsored · Your Podcast. Everywhere. Effortlessly. Share. Educate. Inspire. Entertain. You do you. We'll handle the rest.
Avatar for Jaime Jaime
November 20, 2012
500

 formulas.pdf

Avatar for Jaime

Jaime

November 20, 2012
Tweet

Transcript

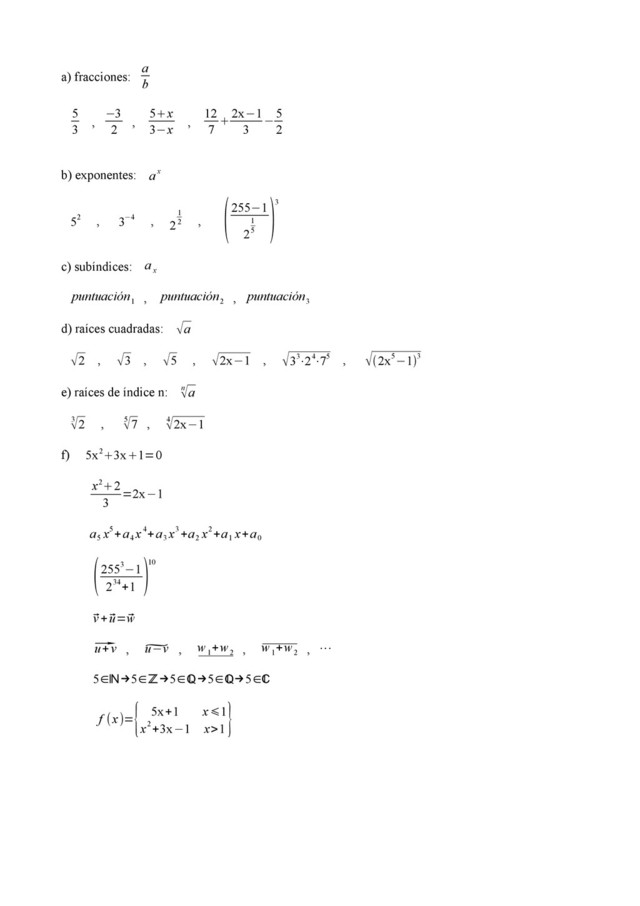
  1. a) fracciones: a b 5 3 , −3 2 ,

    5x 3−x , 12 7  2x−1 3 − 5 2 b) exponentes: ax 52 , 3−4 , 2 1 2 , (255−1 2 1 5 )3 c) subíndices: a x puntuación 1 , puntuación 2 , puntuación 3 d) raíces cuadradas: a 2 , 3 , 5 , 2x−1 , 33⋅24⋅75 , 2x5−13 e) raíces de índice n: n a 3 2 , 5 7 , 4 2x−1 f) 5x23x1=0 x22 3 =2x−1 a 5 x5+a 4 x4+a 3 x3+a 2 x2+a 1 x+a 0 (2553−1 234+1 )10 ⃗ v+⃗ u=⃗ w ⃗ u+v , ̃ u−v , w 1 +w 2 , w 1 +w 2 , ⋯ 5∈ℕ→5∈ℤ→5∈ℚ→5∈ℚ→5∈ℂ f (x)= { 5x+1 x⩽1 x2+3x−1 x>1 }