Upgrade to Pro — share decks privately, control downloads, hide ads and more …

JuliaLang Japan 2025

Sponsored · Your Podcast. Everywhere. Effortlessly. Share. Educate. Inspire. Entertain. You do you. We'll handle the rest.
Avatar for k k
December 13, 2025
45

JuliaLang Japan 2025

Avatar for k

k

December 13, 2025
Tweet

Transcript

  1. Multi-Scale Modeling 1. Quantum 2. Kinetics 3. Process Gomez et

    al. (2024) Back and Jung (2016) Fernandez and Hatzell (2020)
  2. Legacy Analyticity Multi-Scale Modeling 1. Quantum 2. Kinetics 3. Process

    Legacy Gomez et al. (2024) Back and Jung (2016) Fernandez and Hatzell (2020)
  3. System • 2 CCl3 CCl2 PO3 H2 with 4 H2

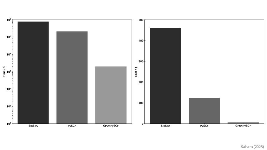
    O • 38-atom, 85 individual input files CPU • 16 parallel jobs (2 cores per job) • Intel Xeon processors • 32 vCPUs, 256 GiB memory • $2.117/hr GPU • 16 parallel jobs • 8x NVIDIA A100 80GB SXM4 • 240 vCPUs, 1800 GiB RAM • $14.32/hr Sahara (2025)
  4. System • 2 CCl3 CCl2 PO3 H2 with 4 H2

    O • 38-atom, 85 individual input files CPU • 16 parallel jobs (2 cores per job) • Intel Xeon processors • 32 vCPUs, 256 GiB memory • $2.117/hr GPU • 16 parallel jobs • 8x NVIDIA A100 80GB SXM4 • 240 vCPUs, 1800 GiB RAM • $14.32/hr
  5. Legacy Analyticity Multi-Scale Modeling 1. Quantum 2. Kinetics 3. Process

    Legacy Gomez et al. (2024) Back and Jung (2016) Fernandez and Hatzell (2020)
  6. DFT + MD Analyticity Multi-Scale Modeling 1. Quantum 2. Kinetics

    3. Process Legacy Gomez et al. (2024) Back and Jung (2016) Fernandez and Hatzell (2020)
  7. Multi-Scale Modeling 1. Quantum 2. Kinetics 3. Process Gomez et

    al. (2024) Back and Jung (2016) Fernandez and Hatzell (2020)
  8. References 1. Daud, W. R. W. et al. PEM fuel

    cell system control: A review. Renewable Energy 113, 620–638 (2017). 2. Gomez, A., Thompson, W. H. & Laage, D. Neural-network-based molecular dynamics simulations reveal that proton transport in water is doubly gated by sequential hydrogen-bond exchange. Nat. Chem. 16, 1838–1844 (2024). 3. Back, S. & Jung, Y. On the mechanism of electrochemical ammonia synthesis on the Ru catalyst. Phys. Chem. Chem. Phys. 18, 9161–9166 (2016). 4. Fernandez, C. A. & Hatzell, M. C. Editors’ Choice—Economic Considerations for Low-Temperature Electrochemical Ammonia Production: Achieving Haber-Bosch Parity. J. Electrochem. Soc. 167, 143504 (2020). 5. Sahara, K. Quantum Chemistry Acceleration: Comparative Performance Analysis of Modern DFT Implementations. in 202–206 (Tacoma, Washington, 2025). 6. Herbst, M. F., Levitt, A. & Cancès, E. DFTK: A Julian approach for simulating electrons in solids. 7. Greener, J. Introduction to Molly.jl. Google Slides (2025).