Upgrade to Pro — share decks privately, control downloads, hide ads and more …

Editor_matemático.pdf

Sponsored · Your Podcast. Everywhere. Effortlessly. Share. Educate. Inspire. Entertain. You do you. We'll handle the rest.
Avatar for Carolina González Mateos Carolina González Mateos
November 21, 2012
140

 Editor_matemático.pdf

Avatar for Carolina González Mateos

Carolina González Mateos

November 21, 2012
Tweet

Transcript

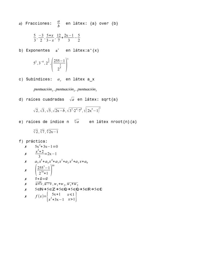
  1. a) Fracciones: a b en látex: {a} over {b} 5

    3 ,−3 2 , 5+x 3−x , 12 7 + 2x−1 3 − 5 2 b) Exponentes ax en látex:a^{x} 52 ,3−4 ,2 1 2 , (255−1 2 1 5 )3 c) Subíndices: a x en látex a_x puntuación 1 , puntuación 2 , puntuación 3 d) raíces cuadradas √a en látex: sqrt{a} √2 ,√3 ,√5 ,√2x−b ,√33⋅24⋅75 ,√(2x5−1)3 e) raíces de índice n n √a en látex nroot{n}{a} 3 √2 , 5 √7 , 4 √2x−1 f) práctica: ✗ 5x2+3x−1=0 ✗ x2+2 3 =2x−1 ✗ a 5 x5+a 4 x4+a 3 x3+a 2 x2+a 1 x+a 0 ✗ (2553−1 234+1 )10 ✗ ⃗ v+⃗ u=⃗ w ✗ ⃗ u+v ,̃ u−v ,w 1 +w 2 ,w 1 +w 2 ✗ 5∈ℕ→5∈ℤ→5∈ℚ→5∈ℚ→5∈ℝ→5∈ℂ ✗ f (x)= { 5x+1 x2+3x−1 x⩽1 x>1 }