Upgrade to Pro — share decks privately, control downloads, hide ads and more …

formulas1.pdf

Sponsored · Your Podcast. Everywhere. Effortlessly. Share. Educate. Inspire. Entertain. You do you. We'll handle the rest.
Avatar for carolina carolina
December 10, 2012
1.3k

 formulas1.pdf

Avatar for carolina

carolina

December 10, 2012
Tweet

Transcript

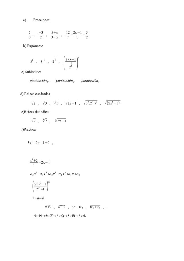
  1. a) Fracciones: 5 3 , −3 2 , 5+x 3−x

    , 12 7 + 2x−1 3 − 5 2 b) Exponente 52 , 3−4 , 2 1 2 , (255−1 2 1 5 )3 c) Subíndices puntuación 1 , puntuación 2 , puntuación 3 d) Raices cuadradas √2 , √3 , √5 , √2x−1 , √33.24.75 , √(2x5−1)3 e)Raíces de índice 3 √2 , 5 √7 , 4 √2x−1 f)Practica 5x2−3x−1=0 , x2+2 3 =2x−1 a 5 x5+a 4 x4+a 3 x3+a 2 x2+a 1 x+a 0 (2553−1 234+1 )10 ⃗ v+⃗ u=⃗ w ⃗ u+v , ̃ u−v , w 1 +w 2 , w 1 +w 2 , ... 5∈ℕ→5∈ℤ→5∈ℚ→5∈ℝ→5∈ℂ