Upgrade to Pro — share decks privately, control downloads, hide ads and more …

20190317数物勉強会_アップロード用.pdf

Sponsored · Your Podcast. Everywhere. Effortlessly. Share. Educate. Inspire. Entertain. You do you. We'll handle the rest.
Avatar for math-phys math-phys
March 17, 2019

 20190317数物勉強会_アップロード用.pdf

Avatar for math-phys

math-phys

March 17, 2019
Tweet

Other Decks in Science

Transcript

  1. IF i I E A 's FETE ¥53 It '

    ' - I " EEE Ex n x x txt Htt n w ⑨ math - phys
  2. F - EY - I 't ✓ Maxwell EE¥¥E⇐EBEin22 #

    HE (electromagnetic duality) ✓ It - t.EE QNO - L 72kt 'THE ✓ 4¥ J FEE gauge FREEFALL Montone - Olive 27 'LL HE ✓ TEETH gauge .EFEE¥# E SUK ,Z ) -72 'THE ✓ 7525 ' EE Fisk Qaiotto 72*1'¥ ✓ 41 'RE -2 't Exa # HE ( das .is/CFTEthTu ) #X¥¥htiH3H¥tHE= GET.tk#Etf3FutsGtEFEIEeoiEnziE' HE )
  3. Maxwell To EEE ' Maxwell egg 's . t.be#rteo=ao=4MaxwellegfiL7i:9ij !

    ) ( traditional ¥j¥Ife torn I ( dF=o FEHR " ) 475×9,5 I :¥¥ ? d* F- ie teeming lie dye * - op ' on 11313 E ! -74175 , Distasio se : eET7¥HIeiiH¥¥ ) 270K¥44 . where iii. KEN ,z3y Eiji Foi = Ej Ie , ' - Pe do inv ' tensor ' or Fij=8IEijhBk tie ,oij=EEijnie Levi-Civita symbol k - k -
  4. gauge HE , .tt#9EdF=0 on R'' ' or R "

    4115 to FEEL ' rt , Poincare a the * ' EEE Ey ( ±¥u¥iEh4H¥¥¥nEx3 ) ( this Half R 't lol ) ⇒ A Eh ' ( R " ) F - - DA In Ate gauge HEED in In -19,1 . call Art - ' Foote 1h # HE .IE#XE0URh7-kFth2AXi=AtdXk-d'htzEat-dAX=dA-- fi I IFTU , gauge # FEED # HE . 3kt FEE'¥ sister AD " ¥ UH - bundle nf¥EFztDEtIt3 .
  5. Hello monopole ! Xxx # ¥8 # ( not invocative)

    TY ' E - - Pe E → - B D. B = pm B -7 E ¥3 :* : :¥¥ : . in * a lie Pm → se de -5 - Im im - sik F→*F this ! je → ⇒ * : " = . i . Im → je
  6. FEB'THE , 972¥ 45 FEE i != FI ¥ :=EtiB

    di - petipm &i=¢etiIm M¥0 $x¥ - if 'f=iI da :( ¥411 -7k¥ . Hai ) ate ' Him " xxk.tn#tnql0~RsoXUll/ ZEN mixing
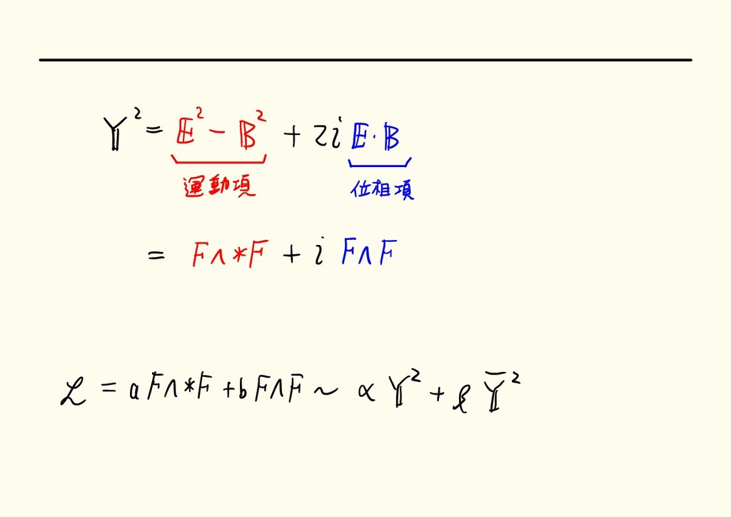
  7. ¥ ' = E ' - 1132 tziE.BA#EfAIE HII #

    IE = Fn*FtiFnF L=aFn*FtbFnF - x' fate 'T '
  8. ✓ Troth likuta y Maxwell To EE ¥ ' n

    FEE EP but ⇒be7oEh22¥t NEED # with 3 HE At X " EFI
  9. breakdown of Bianchi identity dF=Im ( EL F- dates IF

    - o ) Jim nE( support ) FIB -5555¥ - GEE't # xvE¥53E¥E Z it gauge -434 " 'E¥g . In ( I' HID htt ) monopole Dl " # FITZ gauge Irfan 'E¥7¥¥H ¥ ¥LkHHE¥DK2u¥H4 ! I Klin 211212111 FIE 4TH " Think , 22¥84 't Du 4K€97 -HEEB§ckI3
  10. ☕ break @ Effy EHF - In Xm ( dynamical

    k ) It # 53¥75 , a '⇒¥f } ' ¥2 , Paff #5- as Lorentz 'H£L Lagrangian Z¥c¥LIk3¥n tf of . Argyros - Douglas. EEE Es . Frost 2h In Q EEE ¥7 TENCENT - the ,¥E¥EExl2 179¥12 FIZZ EE a # FIFER Fe 's K2 lit 'll . gauge ± ?qH¥¥k¥¥¥G5H # AEE EE -23nA ? ✓ ¥4808 Effort Positive affine grassmann'm In 'ffzk(h¥EFz) V XlH3
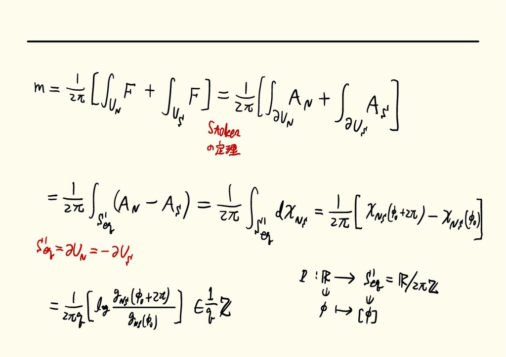
  11. To 'Ea¥gte ; E yz K ' 5*305 " "

    tgnonnihsphene total magnetic change m := ftp.F Meg ← equator za ) " shthwsphao Us, P= On U - Us' Unh-9 IS "egHTi¥E ) ⇐ a , 2Vj= - 2-4=1 'q
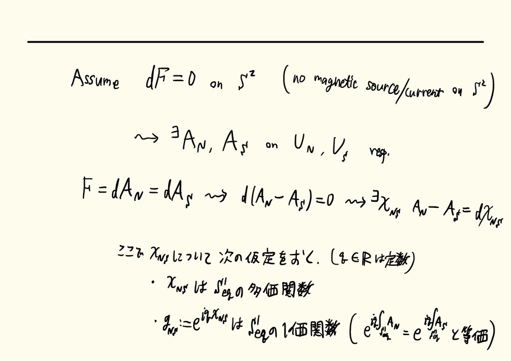
  12. Assume dF=O on S " ( no magnetic source furrow

    on S " ) → FAN , Asi on Un , V , resp . F =DAn = DA , → d Hn - Asako → Hrs . An - AE dxn , 7- In Xvg 12742 HI nhk # EL ' L . ( GER rt 'E¥tk ) • Xns' tf I"egnAAh④P¥E¥# .gr , eiwirtgbg.am#EE*k(eiHtI--ei4Ai ' e "¥a)
  13. Dirac n FE 3- HEH # m of = ¥

    Ig , E E 21 : Dirac a Fetter Ehtt # gas . = e " " ' to " S' ' q fr in " ¥ it Elias ) ± 1k$ i. e . 7k¥ . k U H ( not R) n E : gauge 5¥ Itar Tui IVH1) 22k¥44 . ¥4 took K 1st them class GIF) K - ¥453 . t " It ¥8454 Eats a co cycle a # ATE)
  14. ✓ gauge EE n Ff # E EESFin 22 #

    HE n ' ' ft AAH " rt Fatt the I I ✓ gauge EE !Ea ZE a EaFT t ¥ IF a E , Ententeher Itis
  15. Maxwell EE Fan - AE Nb Maxwell EEE Ea =

    ( rank 1) Abelian gauge FAE } ¥ = Abelian Lie group bundle w/ . d*Fzj The 't -5 gauge 8¥ it ① = VH1 , R ⇐ Efi' # Itis Each ate To -t¥LieB¥kF#3¥te¥-23 Itil Yang - Milk IN EFFIE Ets -23 FEEL , Grt Look# HASH# exurban ) shirt a Hrithik " Tks Hh
  16. " U (N1 gauge EEEEaiteh.EE#EL2H3 UH gauge EEE , #

    . " a dot " VIN) gauge EEE , # . . i . } " N dots " NEZ > z VLN) : Nik ' 1=74 - F¥ = LU E End LOT I UtU=Iden } It Matt , N) where CUTTY ) : = LY , UK >
  17. An .it#LiettTEtx.9eEFFaE:IsElN=3nEEoE ) . run I' " a vector (basis'

    ) " ( III # A 7th ) → 3 e , = ( 1,0 . 0 ) R ÷ → 2 . MY ez It • 3 → 10,0 , t ) Ez = I 0,1 , 0 ) /
  18. → 3 1 e I R • → I I

    43 2 . 3 my → I a , → 2 Ez • 3 → → I dz E z I , = Ei - Ii , E- Ez - Is , I , = Es - I ,
  19. Il - fkn II ' ez - ez = K

    El - E3 z 1 =L , R • I I I ee e , 3 my e , - ez 2 . ez - e , =L , 2 . 3 Ci ' - - Ci - Iterates ) ej es - e , es - ez a 9 - a , a , - a , - q
  20. UW ) - CSUN ) → , 1123 e ,

    → C , N → → . I = ¥ Sei g e . → it → es es et ' E¥¥t7Hvn¥v " HIS 'll ⑦ up , # " 9¥ . , n ET = E' ' t I' et =P, ' + I' → → , → Ez = e , t g
  21. SHIN a Daft THA 3- " " sunt n' 24k¥87

    = E¥¥t7Hvxu¥Fif3 t ( Z - ADF¥) Suntan - t THE 's =/ L - t ' 't Shibu # ht 'S t ( Z - ADEE) 42 43 N - - 3h47't wa w , e : ' e' i 4 Cz " A' iii.' =3 www. hit "=ZK , , as
  22. SUN ) gauge EEE Fan It - f E ,

    → W - THY " -1 ' h D ' 'll - TV F¥#n¥¥u{ car .am#*xei**ms7tt-/lLgaugeoqy baht " to Hi ' → 499¥78 t ¥¥#x¥EE → 7*-7 RHEE '¥a¥¥u → RH - 7 42 43 wz w , ¥75 , IKE ATE) EE 'z3e4t ez ' et' i 9 ' 'll - It $ 43 x , 9*-7 13 w , EH - 7 3T Wz Cz '
  23. World volume l Eliana¥ TE ) gauge EEE Ea At

    He huh 3 # FIT N FT I 1 • R " or R " 2 . . 3 → I 23
  24. flat space In AFP Poincare 'F¥R" x 104,3 )n¥e¥E ✓

    massless # 9% IF) 4757=0 If 43 ✓ massive ¥98 IT'S LP.FI#.,--ni so a Mtv - Fat massless Ads :L 8) ¥E¥tn ) % -7ns massive ④ $ kP%gs . Q = " " @W-fiyuVrfhEekNF-bmassivexOAdjl3lq.g up , ¥ # Evitt Higgins , hfmassive ④ Infants .
  25. £ VID vs PSV 13 ) gauge TEE 'zE*(¥¥ )

    a transition function 92EUR42 , SVP) A PSV = SUM , n 23*444*3 . where % , := 21/321 : center group of SUN ¥I¥¥EE(3' tea , highest weight 9) WEST 3%-761 " FIFI -3343,5 , PSV a gbf , It - 71234 Fe# 84kt # ice . #E¥EaEEY3n RHEE # EEK PSV DEKE# UHH u !
  26. gauge .se#QxhE-z3t5kaE,EFfk3IxEFuO44534eht E # I AEYXIE , gauge -0E5Fan"EE¥GfEFRfj*Bt "

    years o#di2yri3 . E- fuel A # As ' wit '=K¥E¥7 f- PSV =sV% , Af=Aiit" ' HEED
  27. ✓ IUCN) a theft # Ifk , gauge EE Fan

    " q¥ , " te } c ' 3 ✓ text to EPH 72,1L - t HA 3- E BE ' to te ' FELT i ' -3ft , gauge # ¥0 '¥⇐fRlz KATE -53
  28. Q UH FUN SUP ) ' FAKERS ¥gf EYETEETH 7g

    - 7 je ( EEE) Higgs 'H¥f gauge.IE , ¥u YETI Mu - TN A F Initiate .ae#iyu 7 2 Im • & my -2
  29. UH a HE , Ee vs VEH a IEEE *

    y " Entz ¥9 HERE " HEEFET 7th I z tent Eta E) Uta 5k . Titan# Hr : ' In Dirac a Ze tht EH 't : of m E 21821 EIFFEL , Atty tankette HERE ¥870 Eat 3 ¥ IE Vt , 214 Effy }Est L2 l l 3 a tf , non - dynamical Tt at 71-54 (TAIPEI ' HH - a Thi ) a Toy , ¥ # VL dynamical H Most 5gII¥gi3E*FV Eat 3 .
  30. Goddard - Nntysi - Olive '¥eZNb # htt a .¥JfZHt%Er

    ? HILGART A " :'-( BE A .④z,R/6,w ) EX ) " k¥841 , Rr prates 's '¥Es¥¥ " hook 853443487 " I Am := NE a 'E¥* .
  31. I ¥ 7¥ BY FEE Hii : 't = ?

    A fruit = ( n , w , t ha We I hi , nz EZ ) Ash = ( n , w , t ha wz I hi , Az EZ , hit 2h , E 321 ) ( Wi , W , ) = § ( Wz , We > = I ( Wi , wz > = ( wz , W , > = I wz I [ . you Nii " W ,
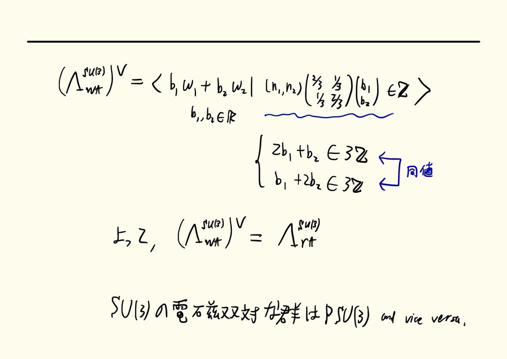
  32. ( As ' iii.' Y = Cb , wit b

    . wat in . . no Its :) EZ > b , , b , ER me 2b , t b , E 321 { b , t 2b , E zz I Bht t . 2 , Hii : 'T = As:# SUH a Ese To ktuxxtxf HE¥ It PSV and via versa .
  33. 4nF # en ¥754 . 83=21/32 • O * I

    ⑧ 2 ( vi. Y > ={% , mod 't = } 2-(412-14) mod I
  34. ✓ a EhFly rt , ' EE FR LE ET

    HIKO t n 21 I 27 At Th IF# t I L 2 ' ¥4 X I K 3
  35. ஫ : ͜͜Ͱ͸ڸ૾ϖΞΛ෼͔Γ΍͘͢͢ΔͨΊʹ ৭Λ͚͍ͭͯ·͕͢ɺશͯͷ఺͸ಉ࣭ͷ΋ͷͰ͢ ¥ '¥unhEngaugeEEEF¥ I ( 11 ¥¥u

    KATE S' 12N ) gauge ¥¥¥ . ' ! ! ! ! }" 2Ndoth " NEZ , z ¥eH¥¥qkH2¥FE*9 , 'C ' CAC .
  36. ¥ ' Fun 't '¥¥lH Do . ¥¥utE¥f¥h • •

    • . . # Ep # 43*543 I . • . A " X ! • • Insistent '¥¥#T3
  37. ¥ '¥unt¥Et4 og • z.tn#TzHEEpnofgEE REF Do Do Do og

    og og og . OK ! oooo # Epa Entomb - EH
  38. EH ¥3 E3 E3 • Ez 23 4 13 .

    Ez 12 13 23 Do - e , 12 • @ , → 12 • 23 13 12 - Ez 23 • 13 - E3
  39. FOGH .tn#En/L-tI4 . 13 8016) D , • 13 23

    23 • 12 . 23 • . 12 og my 31 13 12 ooo 12 co or 23 21 • 32 21 • zz 13 Do 31 E3 Ez e , * znhtgyzutts 'll all - tg . -487¥ ' - ¥4 ( THAT sink )=I0lH )
  40. Dr Bail ( " 1h21 - ) £0181 5017) E3

    Eq . E3 • og • Ez Ez Do - e , • . my - e , . tea . . El . C , • 94-70 - ez . - ee - ez . Do Do - E3 - ez T I
  41. E3 E3 Ez • 3 e , Ez 3 co

    z 23 - e , . 13 • → 2 I • C , 12 • 12 23 - Ez I • 13 - E3
  42. BnT¥ . SOKNH ) all - 1- Ex $0171 3

    Bs , . • • I oo 23 • co no 13 . z MY I • . 2 12 . 12 no no or 23 • I • . I 5 13 • E3 Ez . short root e , • . long root
  43. I -17°F . Ln , 75 , - (Cn FI

    ) E3 E3 Ez • 23 3 e , 3 13 • Ez z 12 23 - e , • I 13 k • e , → z 12 • 23 13 12 - Ez 23 • I 13 - E3
  44. C n EI . xp IN n I l -

    t E IT 70 L E , 7 (symplectic) A x 70 3 s' pls ) C 3 . ooo ooo 23 • . 13 no no 2 my . • . I 2 I 2 no 23 • . • I • 13 . • E3 • Ez . long root e , • . short root
  45. Licht '¥kn" 22kt " E3 • Ez • og .

    et og Be og Be og og Be Be og od Be og • og Be DO • og . . . dual . . • og og Be og • • og • 80171 spot • short root . long root
  46. I ;¥fIBFE¥ Q . 90 ( Wtt ) c→ Ip

    I N ) IO KNTH Awt =D Let , - - - , en ) ( A' i'i' " F- Zee , , . . . .eu > = AEE' ca " 'm 't ' - - Kei .ie , htt 't ' 1A 'T !" e Zz . . . spunk ¥ of . Spin ( WH ) t Ip ( Mhz , SO kNtY= Ipin kNtY/zz
  47. ☕ break ' . String vs : RFT us .

    , Lie group 21-477 " " W . Ii 'y" V " K - tt7HV ✓ ¥I¥t7Hv > " v - -1 " Higgins " ¥¥e¥EEn7sht ) . I " y ,⇒I" Higgerson Cartan '¥NkH¥tx n ¥A9¥t¥ > " L - ya -44*4 " It -1 " 577 HEE - HEATH nEE¥E¥f FYI 'VE , A - WH " §fozq " " 442 t "
  48. ✓ " EEE " I TE JE ¥483 - hi71-15

    HE Lie # ¥ I gauge ¥¥ KET gauge Ea¥¥¥E " L ' GET# E " a ¥3
  49. Abelian xx txt HE x 's S' b ( 2,24

    - 72 If HE , Z L2 ¥5 YI E h 6
  50. Maxwell EE-IHIFEIEOHE.IN#FEERsoL--'EeFn*F- ItMF { a ER redefinition a F±:= It

    tix F) nut ZF.tn#=FnFIFn*Ffkrt4oEEYiXXlhkE9lztXf23 It n ) L=¥Fn*F - staff = ÷ LENE , - ENE ) - ¥alFtnEtEnE ) = left net TIENE ] 222 , ¥e£hb gauge .EE#EEtHIi=zIat-e,Ji--fz-2EiTEiEzEx . Im so ice . EEIH I I # FAA )
  51. Rough " proof " of Abelian duality Jose 5nF nfosascdtye

    :* IMF ~ ) OF JOB e '÷HMFt⇒dFnB = - JI ADB ~ JOB e HE × x for eiiak.tn he ' FB : = dB IV : = - I FEI - If , ~ Jg , jae FBAFB up to a - dependent coeff.
  52. EEFEEEFHIFESE.int#tkEH , # ' ¥bbk Ganef,¥ # n Fourier '

    # F'Fen "E¥E8¥¥# " H - ' ' I -1 A - - o → y=¥ l Particle :* Yang duality , e ' T= - f- =ie=⇐ 2 (evp i.e . eV= # e e → o F) even and vice versa
  53. ☕ break : HIKE #E' n x # 4¥ '

    ¥ IT [ Iz ] = ¥ , hi Ki ] in H' Kik ) where 1,1g. ] - - Sia. =n¥¥f×enF=:& .mn sixers - = Qij ( ¥2 # " Ein 9TH # ¥ ) UH a # Eo , HITHEE HEI Tho - K attn ELI Hun FEN 7 " 4 IF -23 .
  54. An TEA 't 't X : ' # Eight 442

    E Fff 2 Yaa THE 4¥ spinor IEP you 'z¥¥ZE3 , ice . Spink) - bundle my ¥uf×FnF E 221 or will ) - - 0 in H' Lx ;a ) my Stop lot = - j/×FnF= - in A my e - £9061 = e - Shop Attn ) (h EX ) A → A -121T or I -72+1 Dl " Fez's Fabia HYE # Hit # ' Ck ESE
  55. 22kt 't 't n enhancement I → I -11 {

    I → - Ye MI SUK .NET#aitE EEE ZE IH In # EH.it#rtgaugeEEG=Ulyte-AEn---HTFFEF4t- FHe3¥Lkt%EE¥ # 432¥ .BR#Ek2h3 . Etta .at#khEHIrEFEa' ' k¥-2307,541321 ) - 2X # HE 2b # Hits .
  56. ILK , 2h -22¥ .TK#=t--2nFTBjcELFEFEEEEEan1lo-x- 7- - I [email protected] 'LL

    2,74 - He a HFEoF¥E¥ktt"k"uEu" FEI ( HE ' HE) entHeznt-nfbk.HR#E,t--zHEEEtk1n'FEEa # ¥488184 nkgEEIFFF.se#E=E5XtD-kfEL2H3 an %E5EIT.tk#EFtEBtEb' e ↳ It n # Htt , Htgnt -5kg l¥EEkk##' EYE4 'T FA X KITTY -33 . K £k±¥¥FtH , -471549 Ree ¥I¥eiE¥£k -45223 , Terohmiiller'EPIfeo¥H"*3
  57. Enn -42K¥ UHH " - IEEE Fant , Tnt ,

    t%92ut-52lpy-ki.EU#h2 . IEEE -143453 . s.EE#EgGiEeEe ( b # wins ) Tp G 2 : 'mEtzE¥EEsh( ¥5445) " N y EBnygaugeEEE.BE#tf(gangeEE3E ) R "
  58. ✓ HII # FETE Maxwell EEE.ES#krt 1612,24 - xx #

    4¥41 " Ft ¥ ✓ 8612,211-22*7 't 'EkF4Bx¥e¥F¥E A- - KAEL , 2 :# Et - 524 XD -22 IF 'RE ENL
  59. QFTNEFEZ.tt . . . ? X=Rl" 3×74*5 me 6 2

    : 'mEtz¥¥¥ E' Est b EN-to.yg-MNIEIEEKLEF.FI#4895ErE 'EF*/X yNM5 - braner f , Arent ) -20 " " µ " 4iEEN=4 GE SUCH ¥EH#hYang - Mills .EE#FaLMSYm ) (gauge ) with 'E¥ygangeEIE¥¥tF I - ÷ +4¥ gz
  60. Z it IE 4¥45 X 's 4 'RE EEE Fan

    SWIM S : k , MSYM in in 2b " mfd " S' RFT ( QFT w/ . supersymmetry ) a t . 10 D string : Calabi-Yau 3- fold → 4 Fu gauge #ME }f¥ ( GD " manifold " )
  61. 22kt In '¥nEh¥F' ¥44 SWIM → 48 # EE Si

    z MSYM C Oak " " I 4. 2 O I PSVIN ) → 48 # EE - he S i I . MS 'YM ( Oa IN - Ya 4 . - ya - k O I " base cycles exchange = duality in gauge theory " (Mapping Clam Group) I stoked- duality)
  62. Ft ?%¥I¥F¥ a ERIE I I -11 T : ¥

    . 0 I 0 I ¥ ¥ I I S' : O I O I 11 ¥ - k O 1
  63. SLG , n gauge # ¥ notte # - AIK

    s' :( 6,4 ( GT- Ye ) . MO duality T :( Gil Rhett) Witten effect Puzzle I Giel ( S 'T )3=I2d GMP tied 1044164 Gi EEEEAYGVEEEFAHHKEEBHT.tl ? ?
  64. " gauge # ¥ ' in SVG , ht gaageEEE.it#teFEfEftkvtGLnotg)FiH2uVTtK

    - ¥212941 " '¥¥¥¥'RE .IE#LTulGHkE9F/noE.GttGl2FnFA3 Az - type gu 197 S' op f ' PS'Ve) HUGH PINK T T - T
  65. ¥ . KT E Riemann he f ' @ FT

    ( Nez ) lit 7¥ # Katie " -77) g . , §¢ SUH - type sink .az#ak4-EE4IIEN=2 ¥B¥¥⇒⇐±¥¥⇒ , ]← to Z ET wt hole , gauge couplings E gin In Eh ?% S te GiaiottoTEETH EEK 7521749g .IO#Dizeru93-ztiL,44g-iIf3f5kEEZoFatt RiemannBt allow # Begs 4K¥53 .
  66. ¥ , 7¥ Riemann Thet ✓ e e → ④

    → Ski.in" ' my " i ' I " sko.mx#scco..l "
  67. ENTE '¥7" 5 > (Fenichel- Nielsen 'T¥¥¥ .EE/EQaiotto27EtHE - 12,0

    k 7¥H3n%YH9¥# b 11 £ It .my#ttssiaeT - - - - : - - - i - - - - - SUKI i.I ④ SUKI guy , 2¥ '¥¥EEn"z - gnxh SUKI GHEE ) Tintin " 94¥ " -8 SUKI f) ¥7 - ¥ItDEhkF3AE SUCH ¥5
  68. IT -17 # FEED '¥kE" HEE 's # xh¥¥ Pa

    A SUN Tha " " " Kao) k i . ) SUKI Riemann my ¥ guy , th e NvYkE4 . So e lens '¥¥¥¥ , II '¥IYm→AiI § , B SUCH OBIT , TB ① / ¥- sun Tp!" " load ¥ o SUKI
  69. ☕ break . . Skiberg - Witten # kEtnF¥t¥ .

    1¥ . " ⇐iii.* Hittin ' -1km ' ol v # Ine v C = { KEE } x Hitchin 'En Higgins it ENEMY .eu/xosilnX/nodetH-oI)=o ZEC C local) NXN → EE -84
  70. ✓ gauge # ¥ G , Its gauge EEE Fa

    LIFE'Et¥G e) y 72kt gauge # ¥ G , Its gauge EEE Fa LIFE'Et¥G - Ye In 22kt HEH , t - -72 n a . cycle E f - cycle a X KEE -27 AH 3 ✓ e - set I * that # It t - Jan Dehn twist Z ¥Ek3 .
  71. Ll 412-2022 # 4¥ " 4DN=Z I CFP ( O

    > S T " Mccann ] 4458K¥ TCH * 7€ Cg,n on X Riemann's HbEEEE a 2B CFP ( O > CAN -11×3 % Oh Cg , n ¥3¥e : ( 0% , = C 04¥ : 40-217 duality
  72. 73 Ex 's a # EFFIE " ' ' N

    M5 - branes on Rt × Cannon n¥¥In%an¥¥tsg Hesketh - HEHE Eguqfzyy-EE.gg An.it#bhtiEl0.4EEYEFHt78IEEE* ( MM Lagrangian - unknown ) twisted Min-ho by Cgm FUN #I4IEEN=2 22%5474178 # E÷f¥ CAN- I Lx ] FETE #4178 ,¥E÷F# T " " " (Cgm)
  73. 417-24522 Et ME " n.EE#aGEEFuX=f4-sfLf4j-- Liouville - Toda # THEE

    EE Et IFA (G) = Nekrasov AaFEt¥K ¥1747 "Dy7 exact I - loop factor 3.EKETEEFEHEKEE.si#nkEl9& # list - H FEE .ir?eBEfl4ERkN4 It - 701,¥F¥t ⇒ £ verlindei.EE#t(braidEEnEND=--4FAt) : i . X = I " Xqs " my Guk ,gY=ziEEq¥#4HIkDbF Yang- Milk 'eE¥¥ . ( O> = EEE FL¥K H⑤aME¥H it -70 : '¥Y¥t wiesonkyh-x.EE#tt.!::..;EY2I ,¥¥¥Y 7- 22:54 "¥⇒- ' ¥644 ¥4 i i ' I
  74. t.EE#EETttEYX--f 3 X S' ' ~ f 's x R

    ~ R " 3 a A C = ER ' 110,14 = c got ,4 ) m > shek , 212) 3En b §¥E¥¥* " 2¥48 sina.ch/*uk503n&8FEaeE# I GA 'll "xgs" ]aH#H¥f¥4 T " " L Cao ] n "¥E¥#4fI¥K " ( 3¥.ME#K) ( Ics )
  75. tear " :* :"¥:* . bit # xxcg.nl/=f144iEE AQTEEHH.FI Trfcgnyx

    4 'RE ETpfcg.nl/x ¥ f , Cgm = 72 QaiotAo72¥LH¥ Montanan - olive - Langlade ( 0,1 # ( Q2 - ax In , I sq KHE