Upgrade to Pro
— share decks privately, control downloads, hide ads and more …
Speaker Deck
Features
Speaker Deck
PRO
Sign in
Sign up for free
Search
Search
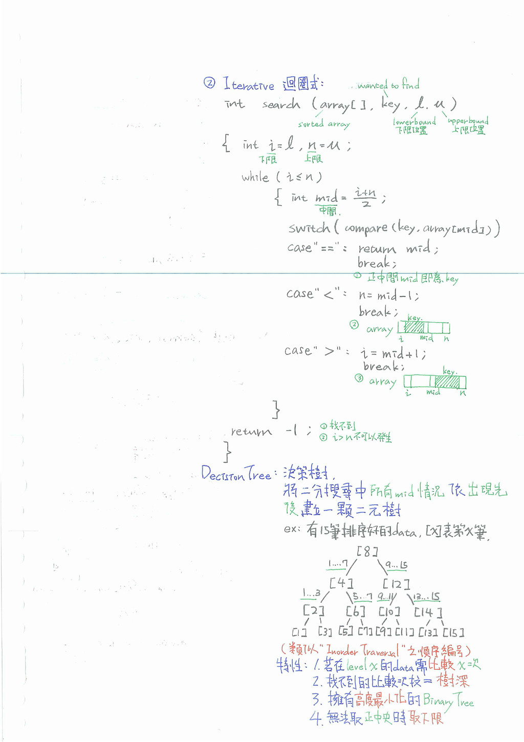
05資料結構07搜尋排序
Search
Sponsored
·
Your Podcast. Everywhere. Effortlessly.
Share. Educate. Inspire. Entertain. You do you. We'll handle the rest.
→
郭阿公
April 16, 2013
0
460
05資料結構07搜尋排序
郭阿公
April 16, 2013
Tweet
Share
More Decks by 郭阿公
See All by 郭阿公
02英文
grandfather
0
1.1k
03瑋柏2.0
grandfather
0
780
04計算機概論01基本計概
grandfather
0
1.5k
04計算機概論02數位邏輯
grandfather
0
620
04計算機概論03作業系統
grandfather
0
1k
04計算機概論04系統程式
grandfather
0
600
04計算機概論05程式語言
grandfather
0
670
04計算機概論07網際網路
grandfather
0
830
04計算機概論08資料庫
grandfather
0
610
Featured
See All Featured
How to optimise 3,500 product descriptions for ecommerce in one day using ChatGPT
katarinadahlin
PRO
0
3.4k
Crafting Experiences
bethany
1
53
コードの90%をAIが書く世界で何が待っているのか / What awaits us in a world where 90% of the code is written by AI
rkaga
60
42k
4 Signs Your Business is Dying
shpigford
187
22k
The Mindset for Success: Future Career Progression
greggifford
PRO
0
240
How to build an LLM SEO readiness audit: a practical framework
nmsamuel
1
650
Redefining SEO in the New Era of Traffic Generation
szymonslowik
1
220
The Language of Interfaces
destraynor
162
26k
The Illustrated Children's Guide to Kubernetes
chrisshort
51
51k
What’s in a name? Adding method to the madness
productmarketing
PRO
24
3.9k
Improving Core Web Vitals using Speculation Rules API
sergeychernyshev
21
1.4k
B2B Lead Gen: Tactics, Traps & Triumph
marketingsoph
0
57
Transcript
None
None
None
None
None
None
None
None
None
None
None
None
None
None
None
None
None
None
None