Upgrade to Pro — share decks privately, control downloads, hide ads and more …

Maths Handbook And Study Guide Grade 12 Kevin S...

Sponsored · Your Podcast. Everywhere. Effortlessly. Share. Educate. Inspire. Entertain. You do you. We'll handle the rest.

Maths Handbook And Study Guide Grade 12 Kevin Smith PDF

Maths Handbook And Study Guide Grade 12 Kevin Smith PDF:

MATHS HANDBOOK and STUDY GUIDE
MATHS MADE EASY
A comprehensive guide to Grade 12 Mathematics
Simple, logical and colour-coded notes with step-by-step examples
APPROVED on the DBE National Catalogue
COVERS THE FUNDAMENTALS OF GRADE 12 MATHEMATICS AND COMPLEMENTS THE MATERIAL IN ANY CLASS TEXT
GRADE 12
KEVIN SMITH
SUITABLE FOR IEB AND NATIONAL CURRICULUM STUDENTS

TABLE OF CONTENTS:

CHAPTER 1 NUMBER PATTERNS, SEQUENCES AND SERIES
CHAPTER 2 FUNCTIONS, INVERSES AND LOGARITHMS
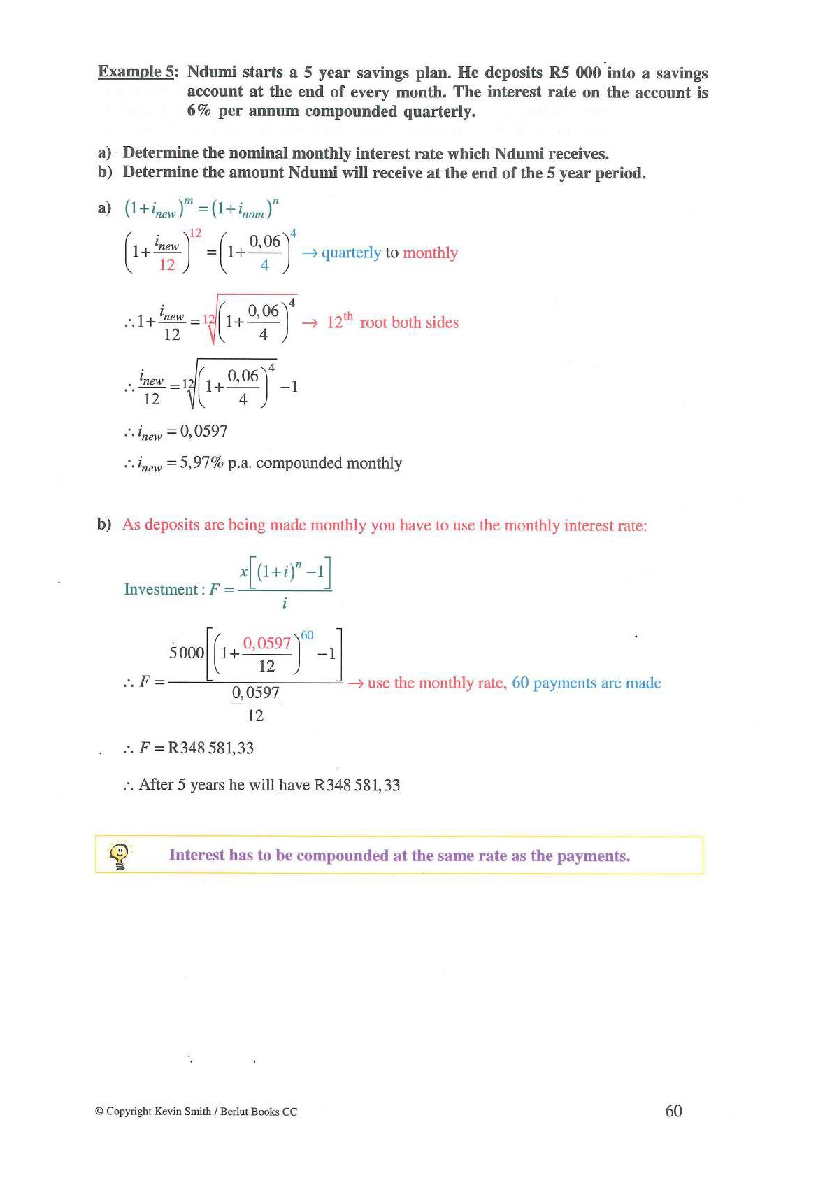
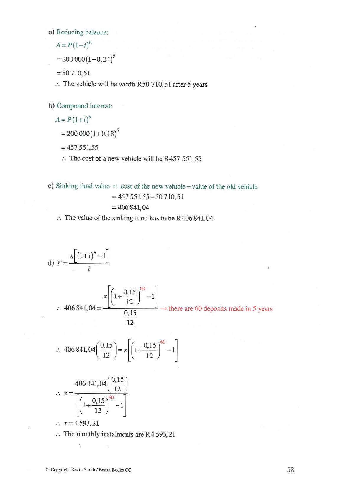
CHAPTER 3 FINANCIAL MATHEMATICS
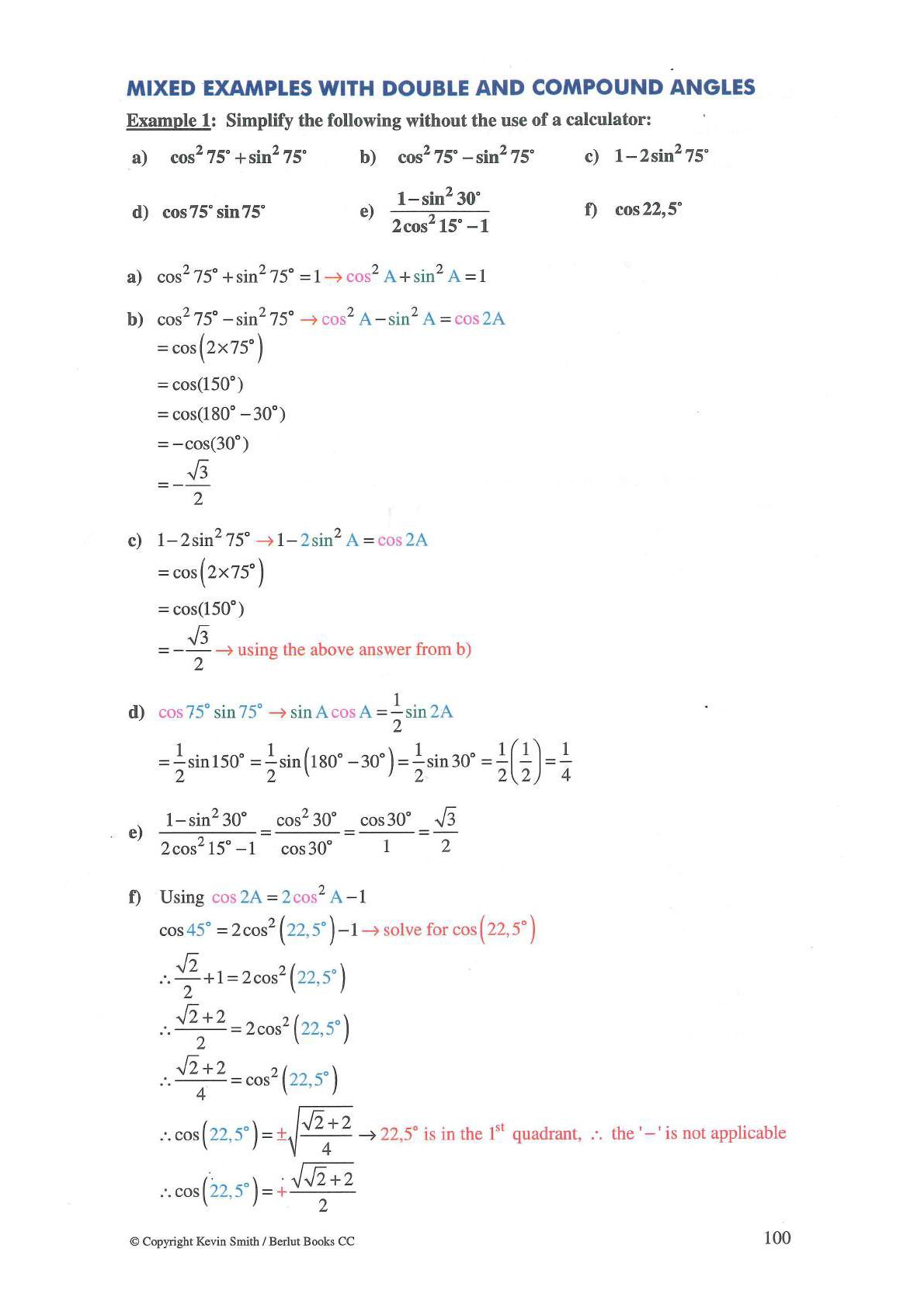
CHAPTER 4 TRIGONOMETRY
CHAPTER 5 ASSESSMENT ON TERM 1
CHAPTER 6 TWO AND THREE DIMENSIONAL TRIGONOMETRY
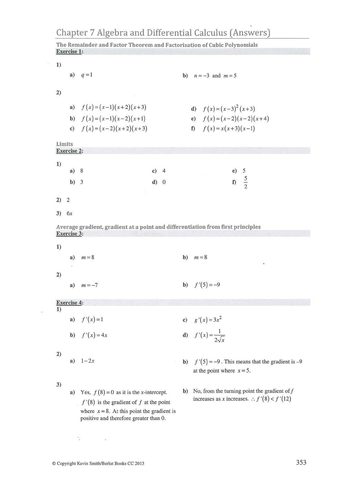
CHAPTER 7 ALGEBRA AND DIFFERENTIAL CALCULAS
CHAPTER 8 CURVE SKETCHING AND GRAPH INTERPRETATION
CHAPTER 9 OPTIMISATION OF FUNCTIONS AND RATE OF CHANGE
CHAPTER 10 ANALYTICAL GEOMETRY
CHAPTER 11 EXEMPLAR JUNE EXAMS
CHAPTER 12 EUCLIDEAN GEOMETRY
CHAPTER 13 STATISTICS
CHAPTER 14 PROBABILITY
CHAPTER 15 EXEMPLAR PRELIMINARY EXAMINATIONS
CHAPTER 16 MAKING THE MOST OF MATHS
CHAPTER 17 GLOSSARY AND NOTES
CHAPTER 18 EXERCISE ANSWERS, INVESTIGATION, PROJECT AND ASSIGNMENT

*This Text Book Is Meant For South African Students And Teachers

Other Decks in Education

Transcript