Upgrade to Pro — share decks privately, control downloads, hide ads and more …

Distribuciones de probabilidad

Sponsored · Your Podcast. Everywhere. Effortlessly. Share. Educate. Inspire. Entertain. You do you. We'll handle the rest.

Distribuciones de probabilidad

Apuntes de distribuciones de probabilidad: Binomial y Normal.

Avatar for ricardo1960

ricardo1960

April 10, 2020
Tweet

Other Decks in Education

Transcript

  1. Variables aleatorias Una variable aleatoria es una funci´ on que

    a cada suceso elemental de un experimento aleatorio le asigna un n´ umero. 2
  2. Variables aleatorias Una variable aleatoria es una funci´ on que

    a cada suceso elemental de un experimento aleatorio le asigna un n´ umero. Las variables aleatorias pueden ser discretas (cuando pueden tomar un n´ umero finito o infinito de valores numerables) o continuas (cuando pueden tomar cualquier valor dentro de un rango). 2
  3. Variables aleatorias Una variable aleatoria es una funci´ on que

    a cada suceso elemental de un experimento aleatorio le asigna un n´ umero. Las variables aleatorias pueden ser discretas (cuando pueden tomar un n´ umero finito o infinito de valores numerables) o continuas (cuando pueden tomar cualquier valor dentro de un rango). Conocer la distribuci´ on de probabilidad de una variable aleatoria X discreta consiste en asignar una probabilidad a cada uno de los posibles resultados de dicha variable aleatoria. 2
  4. Par´ ametros Los par´ ametros m´ as usuales de una

    variable aleatoria son la media, la varianza y la desviaci´ on t´ ıpica: 3
  5. Par´ ametros Los par´ ametros m´ as usuales de una

    variable aleatoria son la media, la varianza y la desviaci´ on t´ ıpica: Media (µ) µ = n i=1 pi · xi = p1 · x1 + p2 · x2 + · · · + pn · xn 3
  6. Par´ ametros Los par´ ametros m´ as usuales de una

    variable aleatoria son la media, la varianza y la desviaci´ on t´ ıpica: Media (µ) µ = n i=1 pi · xi = p1 · x1 + p2 · x2 + · · · + pn · xn Varianza (σ2) σ = n i=1 pi · (xi − µ)2 = n i=1 pi · x2 i − µ2 3
  7. Par´ ametros Los par´ ametros m´ as usuales de una

    variable aleatoria son la media, la varianza y la desviaci´ on t´ ıpica: Media (µ) µ = n i=1 pi · xi = p1 · x1 + p2 · x2 + · · · + pn · xn Varianza (σ2) σ = n i=1 pi · (xi − µ)2 = n i=1 pi · x2 i − µ2 Desviaci´ on t´ ıpica (σ) σ = n i=1 pi · (xi − µ)2 = n i=1 pi · x2 i − µ2 3
  8. Ejemplo variable aleatoria Ejemplo Se seleciona una muestra aleatoria de

    3 alumnos de una clase formada por 20, de los cuales 8 son chicos y 12 chicas. Se considera la variable aleatoria, X, que cuenta el n´ umero de chicas que aparecen en la muestra. Calcula los valores de la variable aleatoria y sus probabilidades. Calcula los par´ ametros de esta variable aleatoria. 4
  9. Ejemplo variable aleatoria Ejemplo Se seleciona una muestra aleatoria de

    3 alumnos de una clase formada por 20, de los cuales 8 son chicos y 12 chicas. Se considera la variable aleatoria, X, que cuenta el n´ umero de chicas que aparecen en la muestra. Calcula los valores de la variable aleatoria y sus probabilidades. Calcula los par´ ametros de esta variable aleatoria. Los valores de la variable aleatoria son: X = {0, 1, 2, 3} Vamos a utilizar la combinatoria y la regla de Laplace para el c´ alculo de las probabilidades. Si hay 20 alumnos y tomamos 3 los posibles grupos son C3 20 = 1140 Calculamos cuantos grupos hay seg´ un el n´ umero de chicas y dividiendo entre el n´ umero total de grupos tendremos su probabilidad: 4
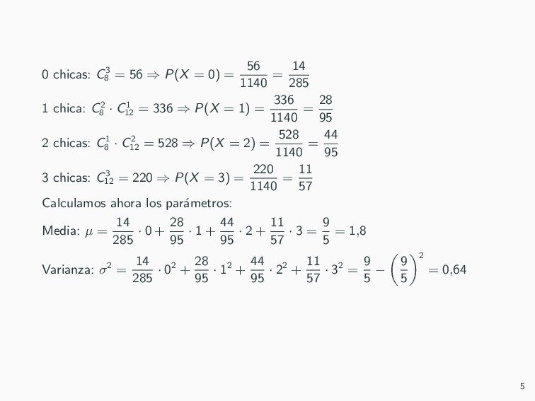
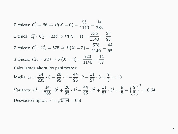
  10. 0 chicas: C3 8 = 56 ⇒ P(X = 0)

    = 56 1140 = 14 285 5
  11. 0 chicas: C3 8 = 56 ⇒ P(X = 0)

    = 56 1140 = 14 285 1 chica: C2 8 · C1 12 = 336 ⇒ P(X = 1) = 336 1140 = 28 95 5
  12. 0 chicas: C3 8 = 56 ⇒ P(X = 0)

    = 56 1140 = 14 285 1 chica: C2 8 · C1 12 = 336 ⇒ P(X = 1) = 336 1140 = 28 95 2 chicas: C1 8 · C2 12 = 528 ⇒ P(X = 2) = 528 1140 = 44 95 5
  13. 0 chicas: C3 8 = 56 ⇒ P(X = 0)

    = 56 1140 = 14 285 1 chica: C2 8 · C1 12 = 336 ⇒ P(X = 1) = 336 1140 = 28 95 2 chicas: C1 8 · C2 12 = 528 ⇒ P(X = 2) = 528 1140 = 44 95 3 chicas: C3 12 = 220 ⇒ P(X = 3) = 220 1140 = 11 57 5
  14. 0 chicas: C3 8 = 56 ⇒ P(X = 0)

    = 56 1140 = 14 285 1 chica: C2 8 · C1 12 = 336 ⇒ P(X = 1) = 336 1140 = 28 95 2 chicas: C1 8 · C2 12 = 528 ⇒ P(X = 2) = 528 1140 = 44 95 3 chicas: C3 12 = 220 ⇒ P(X = 3) = 220 1140 = 11 57 Calculamos ahora los par´ ametros: 5
  15. 0 chicas: C3 8 = 56 ⇒ P(X = 0)

    = 56 1140 = 14 285 1 chica: C2 8 · C1 12 = 336 ⇒ P(X = 1) = 336 1140 = 28 95 2 chicas: C1 8 · C2 12 = 528 ⇒ P(X = 2) = 528 1140 = 44 95 3 chicas: C3 12 = 220 ⇒ P(X = 3) = 220 1140 = 11 57 Calculamos ahora los par´ ametros: Media: µ = 14 285 · 0 + 28 95 · 1 + 44 95 · 2 + 11 57 · 3 = 9 5 = 1,8 5
  16. 0 chicas: C3 8 = 56 ⇒ P(X = 0)

    = 56 1140 = 14 285 1 chica: C2 8 · C1 12 = 336 ⇒ P(X = 1) = 336 1140 = 28 95 2 chicas: C1 8 · C2 12 = 528 ⇒ P(X = 2) = 528 1140 = 44 95 3 chicas: C3 12 = 220 ⇒ P(X = 3) = 220 1140 = 11 57 Calculamos ahora los par´ ametros: Media: µ = 14 285 · 0 + 28 95 · 1 + 44 95 · 2 + 11 57 · 3 = 9 5 = 1,8 Varianza: σ2 = 14 285 · 02 + 28 95 · 12 + 44 95 · 22 + 11 57 · 32 = 9 5 − 9 5 2 = 0,64 5
  17. 0 chicas: C3 8 = 56 ⇒ P(X = 0)

    = 56 1140 = 14 285 1 chica: C2 8 · C1 12 = 336 ⇒ P(X = 1) = 336 1140 = 28 95 2 chicas: C1 8 · C2 12 = 528 ⇒ P(X = 2) = 528 1140 = 44 95 3 chicas: C3 12 = 220 ⇒ P(X = 3) = 220 1140 = 11 57 Calculamos ahora los par´ ametros: Media: µ = 14 285 · 0 + 28 95 · 1 + 44 95 · 2 + 11 57 · 3 = 9 5 = 1,8 Varianza: σ2 = 14 285 · 02 + 28 95 · 12 + 44 95 · 22 + 11 57 · 32 = 9 5 − 9 5 2 = 0,64 Desviaci´ on t´ ıpica: σ = √ 0,64 = 0,8 5
  18. Distribuci´ on Binomial Una distribuci´ on se denomina binomial cuando

    se cumplen las condiciones siguientes: 1. El experimento aleatorio de base se repite n veces, y todos los resultados obtenidos son mutuamente independientes. 6
  19. Distribuci´ on Binomial Una distribuci´ on se denomina binomial cuando

    se cumplen las condiciones siguientes: 1. El experimento aleatorio de base se repite n veces, y todos los resultados obtenidos son mutuamente independientes. 2. En cada prueba se tiene una misma probabilidad de ´ exito (suceso A), expresada por p. Asimismo, existe en cada prueba una misma probabilidad de fracaso (suceso ¯ A ), que es igual a q = 1 − p. 6
  20. Distribuci´ on Binomial Una distribuci´ on se denomina binomial cuando

    se cumplen las condiciones siguientes: 1. El experimento aleatorio de base se repite n veces, y todos los resultados obtenidos son mutuamente independientes. 2. En cada prueba se tiene una misma probabilidad de ´ exito (suceso A), expresada por p. Asimismo, existe en cada prueba una misma probabilidad de fracaso (suceso ¯ A ), que es igual a q = 1 − p. 3. El objetivo de la distribuci´ on binomial es conocer la probabilidad de que se produzca un cierto n´ umero de ´ exitos. La variable aleatoria X, que indica el n´ umero de veces que aparece el suceso A (´ exito), es discreta, y sus valores son {0, 1, 2, 3, · · · , n}. 6
  21. La probabilidad de que al realizar el experimento aparezcan k

    ´ exitos viene dado por: Probabilidad de k ´ exitos X : B(n, p) → p(X = k) = n k pk qn−k Donde: 1. pk qn−k es la probabilidad de que aparezcan k ´ exitos y n − k fracasos, por ejemplo, que los ´ exitos sean los primeros k y los fracasos los ´ ultimos n − k AA · · · A k aciertos ¯ A ¯ A · · · ¯ A n−k fracasos 2. n k nos indica el n´ umero de formas en las que pueden aparecer esos k ´ exitos 7
  22. En una distribuci´ on binomial X : B(n, p) la

    media y la desviaci´ on t´ ıpica vienen dadas por: 8
  23. En una distribuci´ on binomial X : B(n, p) la

    media y la desviaci´ on t´ ıpica vienen dadas por: µ = n · p 8
  24. En una distribuci´ on binomial X : B(n, p) la

    media y la desviaci´ on t´ ıpica vienen dadas por: µ = n · p σ = √ n · p · q 8
  25. Ejemplo La probabilidad de que cierto jugador de baloncesto enceste

    una canasta de 3 puntos es 0, 3. ¿ Cu´ al es la probabilidad de que enceste, exactamente dos canastas de cinco lanzamientos? 9
  26. Ejemplo La probabilidad de que cierto jugador de baloncesto enceste

    una canasta de 3 puntos es 0, 3. ¿ Cu´ al es la probabilidad de que enceste, exactamente dos canastas de cinco lanzamientos? X es B(5; 0, 3) 9
  27. Ejemplo La probabilidad de que cierto jugador de baloncesto enceste

    una canasta de 3 puntos es 0, 3. ¿ Cu´ al es la probabilidad de que enceste, exactamente dos canastas de cinco lanzamientos? X es B(5; 0, 3) P(X = 2) = p(2) = 5 2 · 0, 32 · 0, 73 = 0, 3087 9
  28. Ejemplo La probabilidad de romper una galleta al ser envasada

    es el 1 %. Si en un envase hay 10 galletas, ¿cu´ al es la probabilidad de que al menos una galleta est´ e rota debido a la operaci´ on de envasado? 10
  29. Ejemplo La probabilidad de romper una galleta al ser envasada

    es el 1 %. Si en un envase hay 10 galletas, ¿cu´ al es la probabilidad de que al menos una galleta est´ e rota debido a la operaci´ on de envasado? X es B(10; 0, 01) 10
  30. Ejemplo La probabilidad de romper una galleta al ser envasada

    es el 1 %. Si en un envase hay 10 galletas, ¿cu´ al es la probabilidad de que al menos una galleta est´ e rota debido a la operaci´ on de envasado? X es B(10; 0, 01) P(X ≥ 1) = 1−P(X < 1) = 1−p(0) = 1− 10 0 ·0, 010·0, 9910 = 1−0, 9044 = 0, 096 10
  31. Ejemplo El 10 % de los huevos de un supermercado

    est´ an rotos. Halla la probabilidad de que un cliente que compra media docena de huevos encuentre como mucho un huevo roto. 11
  32. Ejemplo El 10 % de los huevos de un supermercado

    est´ an rotos. Halla la probabilidad de que un cliente que compra media docena de huevos encuentre como mucho un huevo roto. X es B(6; 0, 1) 11
  33. Ejemplo El 10 % de los huevos de un supermercado

    est´ an rotos. Halla la probabilidad de que un cliente que compra media docena de huevos encuentre como mucho un huevo roto. X es B(6; 0, 1) P(X ≤ 1) = p(0) + p(1) = 6 0 · 0, 10 · 0, 96 + 6 1 · 0, 11 · 0, 95 = = 0, 5314 + 0, 3543 = 0, 8857 11
  34. Ejemplo En un instituto, el 65 % de los alumnos

    ir´ a a la universidad despu´ es de acabar los estudios. Si se cogen ocho estudiantes, calcular: 1. La probabilidad de que alguno vaya a la universidad 2. La probabilidad de mas de seis vayan a la universidad 3. Calcular la media y la desviaci´ on t´ ıpica. X es B(8; 0,65) 1. p(x ≥ 1) = 1 − p(0) = 1 − 8 0 · 0,650 · 0,358 = 0,9997 12
  35. Ejemplo En un instituto, el 65 % de los alumnos

    ir´ a a la universidad despu´ es de acabar los estudios. Si se cogen ocho estudiantes, calcular: 1. La probabilidad de que alguno vaya a la universidad 2. La probabilidad de mas de seis vayan a la universidad 3. Calcular la media y la desviaci´ on t´ ıpica. X es B(8; 0,65) 1. p(x ≥ 1) = 1 − p(0) = 1 − 8 0 · 0,650 · 0,358 = 0,9997 2. p(x > 6) = p(7) + p(8) = 8 7 · 0,657 · 0,351 + 8 8 · 0,6580 · 0,350 = 0,1691 12
  36. Ejemplo En un instituto, el 65 % de los alumnos

    ir´ a a la universidad despu´ es de acabar los estudios. Si se cogen ocho estudiantes, calcular: 1. La probabilidad de que alguno vaya a la universidad 2. La probabilidad de mas de seis vayan a la universidad 3. Calcular la media y la desviaci´ on t´ ıpica. X es B(8; 0,65) 1. p(x ≥ 1) = 1 − p(0) = 1 − 8 0 · 0,650 · 0,358 = 0,9997 2. p(x > 6) = p(7) + p(8) = 8 7 · 0,657 · 0,351 + 8 8 · 0,6580 · 0,350 = 0,1691 3. µ = n · p = 8 · 0,65 = 5,24 σ = n · p · (1 − p) = √ 8 · 0,65 · 0,35 = 1,35 12
  37. 13

  38. Distribuci´ on Normal La distribuci´ on normal es una funci´

    on de probabilidad continua descrita por primera vez por el matem´ atico alem´ an Gauss, conoci´ endola como campana de Gauss. Para cada valor de µ y de σ hay una distribuci´ on normal con funci´ on de densidad: f (x) = 1 σ √ 2π e − 1 2 x − µ σ 2 14
  39. Distribuci´ on Normal Y por tanto, la probabilidad ser´ a:

    x µ x p(X ≤ x) X : N(µ, σ) Φ(x) = p(X ≤ x) 15
  40. Distribuci´ on Normal Comparemos las gr´ aficas de X :

    N(0, 2), X : N(5, 2) y X : N(5, 1) x µ = 0 µ = 5 N(0, 2) N(5, 2) N(5, 1) Las distribuciones normales que tienen la misma desviaci´ on t´ ıpica tienen la misma gr´ afica pero desplazada. Cuanto m´ as grande es la desviaci´ on t´ ıpica mas achatada ser´ a la gr´ afica. Para calcular las probabilidades con la distribuci´ on normal Z : N(0, 1) se usa la siguiente tabla. 16
  41. Tabla distribuci´ on normal 0 0.01 0.02 0.03 0.04 0.05

    0.06 0.07 0.08 0.09 0.0 0.5000 0.5040 0.5080 0.5120 0.5160 0.5199 0.5239 0.5279 0.5319 0.5359 0.1 0.5398 0.5438 0.5478 0.5517 0.5557 0.5596 0.5636 0.5675 0.5714 0.5753 0.2 0.5793 0.5832 0.5871 0.5910 0.5948 0.5987 0.6026 0.6064 0.6103 0.6141 0.3 0.6179 0.6217 0.6255 0.6293 0.6331 0.6368 0.6406 0.6443 0.6480 0.6517 0.4 0.6554 0.6591 0.6628 0.6664 0.6700 0.6736 0.6772 0.6808 0.6844 0.6879 0.5 0.6915 0.6950 0.6985 0.7019 0.7054 0.7088 0.7123 0.7157 0.7190 0.7224 0.6 0.7257 0.7291 0.7324 0.7357 0.7389 0.7422 0.7454 0.7486 0.7517 0.7549 0.7 0.7580 0.7611 0.7642 0.7673 0.7704 0.7734 0.7764 0.7794 0.7823 0.7852 0.8 0.7881 0.7910 0.7939 0.7967 0.7995 0.8023 0.8051 0.8078 0.8106 0.8133 0.9 0.8159 0.8186 0.8212 0.8238 0.8264 0.8289 0.8315 0.8340 0.8365 0.8389 1.0 0.8413 0.8438 0.8461 0.8485 0.8508 0.8531 0.8554 0.8577 0.8599 0.8621 1.1 0.8643 0.8665 0.8686 0.8708 0.8729 0.8749 0.8770 0.8790 0.8810 0.8830 1.2 0.8849 0.8869 0.8888 0.8907 0.8925 0.8944 0.8962 0.8980 0.8997 0.9015 1.3 0.9032 0.9049 0.9066 0.9082 0.9099 0.9115 0.9131 0.9147 0.9162 0.9177 1.4 0.9192 0.9207 0.9222 0.9236 0.9251 0.9265 0.9279 0.9292 0.9306 0.9319 1.5 0.9332 0.9345 0.9357 0.9370 0.9382 0.9394 0.9406 0.9418 0.9429 0.9441 1.6 0.9452 0.9463 0.9474 0.9484 0.9495 0.9505 0.9515 0.9525 0.9535 0.9545 1.7 0.9554 0.9564 0.9573 0.9582 0.9591 0.9599 0.9608 0.9616 0.9625 0.9633 1.8 0.9641 0.9649 0.9656 0.9664 0.9671 0.9678 0.9686 0.9693 0.9699 0.9706 1.9 0.9713 0.9719 0.9726 0.9732 0.9738 0.9744 0.9750 0.9756 0.9761 0.9767 2.0 0.9772 0.9778 0.9783 0.9788 0.9793 0.9798 0.9803 0.9808 0.9812 0.9817 2.1 0.9821 0.9826 0.9830 0.9834 0.9838 0.9842 0.9846 0.9850 0.9854 0.9857 2.2 0.9861 0.9864 0.9868 0.9871 0.9875 0.9878 0.9881 0.9884 0.9887 0.9890 2.3 0.9893 0.9896 0.9898 0.9901 0.9904 0.9906 0.9909 0.9911 0.9913 0.9916 2.4 0.9918 0.9920 0.9922 0.9925 0.9927 0.9929 0.9931 0.9932 0.9934 0.9936 2.5 0.9938 0.9940 0.9941 0.9943 0.9945 0.9946 0.9948 0.9949 0.9951 0.9952 2.6 0.9953 0.9955 0.9956 0.9957 0.9959 0.9960 0.9961 0.9962 0.9963 0.9964 2.7 0.9965 0.9966 0.9967 0.9968 0.9969 0.9970 0.9971 0.9972 0.9973 0.9974 2.8 0.9974 0.9975 0.9976 0.9977 0.9977 0.9978 0.9979 0.9979 0.9980 0.9981 2.9 0.9981 0.9982 0.9982 0.9983 0.9984 0.9984 0.9985 0.9985 0.9986 0.9986 3.0 0.9987 0.9987 0.9987 0.9988 0.9988 0.9989 0.9989 0.9989 0.9990 0.9990 17
  42. Para buscar la probabilidad correspondiente a un valor z ≤

    k, se buscan las unidades y las d´ ecimas en la primera columna y las cent´ esimas en la primera fila: 18
  43. Para buscar la probabilidad correspondiente a un valor z ≤

    k, se buscan las unidades y las d´ ecimas en la primera columna y las cent´ esimas en la primera fila: P(z ≤ 2,04) = 18
  44. Para buscar la probabilidad correspondiente a un valor z ≤

    k, se buscan las unidades y las d´ ecimas en la primera columna y las cent´ esimas en la primera fila: P(z ≤ 2,04) = 0.00 0.01 0.02 0.03 0.04 0.05 0.06 0.07 0.08 0.09 · · · · · · · · · · · · · · · ↓ · · · · · · · · · · · · · · · 2.0 → 0.9772 0.9778 0.9783 0.9788 0.9793 0.9798 0.9803 0.9808 0.9812 0.9817 · · · · · · · · · · · · · · · · · · · · · · · · · · · · · · · · · 18
  45. Para buscar la probabilidad correspondiente a un valor z ≤

    k, se buscan las unidades y las d´ ecimas en la primera columna y las cent´ esimas en la primera fila: P(z ≤ 2,04) = 0,9793 0.00 0.01 0.02 0.03 0.04 0.05 0.06 0.07 0.08 0.09 · · · · · · · · · · · · · · · ↓ · · · · · · · · · · · · · · · 2.0 → 0.9772 0.9778 0.9783 0.9788 0.9793 0.9798 0.9803 0.9808 0.9812 0.9817 · · · · · · · · · · · · · · · · · · · · · · · · · · · · · · · · · 18
  46. Para buscar la probabilidad correspondiente a un valor z ≤

    k, se buscan las unidades y las d´ ecimas en la primera columna y las cent´ esimas en la primera fila: P(z ≤ 2,04) = 0,9793 0.00 0.01 0.02 0.03 0.04 0.05 0.06 0.07 0.08 0.09 · · · · · · · · · · · · · · · ↓ · · · · · · · · · · · · · · · 2.0 → 0.9772 0.9778 0.9783 0.9788 0.9793 0.9798 0.9803 0.9808 0.9812 0.9817 · · · · · · · · · · · · · · · · · · · · · · · · · · · · · · · · · P(z ≤ 1,23) = 18
  47. Para buscar la probabilidad correspondiente a un valor z ≤

    k, se buscan las unidades y las d´ ecimas en la primera columna y las cent´ esimas en la primera fila: P(z ≤ 2,04) = 0,9793 0.00 0.01 0.02 0.03 0.04 0.05 0.06 0.07 0.08 0.09 · · · · · · · · · · · · · · · ↓ · · · · · · · · · · · · · · · 2.0 → 0.9772 0.9778 0.9783 0.9788 0.9793 0.9798 0.9803 0.9808 0.9812 0.9817 · · · · · · · · · · · · · · · · · · · · · · · · · · · · · · · · · P(z ≤ 1,23) = 0.00 0.01 0.02 0.03 0.04 0.05 0.06 0.07 0.08 0.09 · · · · · · · · · · · · ↓ · · · · · · · · · · · · · · · · · · 1.2 → 0.8849 0.8869 0.8888 0.8907 0.8925 0.8944 0.8962 0.8980 0.8997 0.9015 · · · · · · · · · · · · · · · · · · · · · · · · · · · · · · · · · 18
  48. Para buscar la probabilidad correspondiente a un valor z ≤

    k, se buscan las unidades y las d´ ecimas en la primera columna y las cent´ esimas en la primera fila: P(z ≤ 2,04) = 0,9793 0.00 0.01 0.02 0.03 0.04 0.05 0.06 0.07 0.08 0.09 · · · · · · · · · · · · · · · ↓ · · · · · · · · · · · · · · · 2.0 → 0.9772 0.9778 0.9783 0.9788 0.9793 0.9798 0.9803 0.9808 0.9812 0.9817 · · · · · · · · · · · · · · · · · · · · · · · · · · · · · · · · · P(z ≤ 1,23) = 0,8907 0.00 0.01 0.02 0.03 0.04 0.05 0.06 0.07 0.08 0.09 · · · · · · · · · · · · ↓ · · · · · · · · · · · · · · · · · · 1.2 → 0.8849 0.8869 0.8888 0.8907 0.8925 0.8944 0.8962 0.8980 0.8997 0.9015 · · · · · · · · · · · · · · · · · · · · · · · · · · · · · · · · · 18
  49. Para buscar la probabilidad correspondiente a un valor z ≤

    k, se buscan las unidades y las d´ ecimas en la primera columna y las cent´ esimas en la primera fila: P(z ≤ 2,04) = 0,9793 0.00 0.01 0.02 0.03 0.04 0.05 0.06 0.07 0.08 0.09 · · · · · · · · · · · · · · · ↓ · · · · · · · · · · · · · · · 2.0 → 0.9772 0.9778 0.9783 0.9788 0.9793 0.9798 0.9803 0.9808 0.9812 0.9817 · · · · · · · · · · · · · · · · · · · · · · · · · · · · · · · · · P(z ≤ 1,23) = 0,8907 0.00 0.01 0.02 0.03 0.04 0.05 0.06 0.07 0.08 0.09 · · · · · · · · · · · · ↓ · · · · · · · · · · · · · · · · · · 1.2 → 0.8849 0.8869 0.8888 0.8907 0.8925 0.8944 0.8962 0.8980 0.8997 0.9015 · · · · · · · · · · · · · · · · · · · · · · · · · · · · · · · · · En la tabla, el valor m´ as peque˜ no es z = 0 y el m´ as grande z = 3,99 ( aunque en nuestra tabla es 3,09). Veamos como se calcula la probabilidad cuando no es la situaci´ on de la tabla: 18
  50. p(z ≥ k) k > 0 z 0 k p(z

    ≥ k) z 0 k p(z ≤ k) 19
  51. p(z ≥ k) k > 0 z 0 k p(z

    ≥ k) z 0 k p(z ≤ k) Como el ´ area total es 1: p(z ≥ k) = 1 − p(z ≤ k) 19
  52. p(z ≤ −k) z 0 k p(z ≤ −k) z

    0 k p(z ≥ k) Por lo tanto p(z ≤ −k) = p(z ≥ k) = 1 − p(z ≤ k) 20
  53. p(z ≥ −k) z 0 −k p(z ≥ −k) z

    0 k p(z ≤ k) Por lo tanto p(z ≥ −k) = p(z ≤ k) 21
  54. p(a ≤ z ≤ −b) z 0 a b p(a

    ≤ z ≤ b) z 0 k p(z ≤ b) z 0 a p(z ≤ a) 22
  55. p(a ≤ z ≤ −b) z 0 a b p(a

    ≤ z ≤ b) z 0 k p(z ≤ b) z 0 a p(z ≤ a) Por lo tanto p(a ≤ z ≤ b) = p(z ≤ b) − p(z ≤ a) 22
  56. Ejemplos p(x ≥ 1,23) = 1 − p(z ≤ 1,23)

    = 1 − 0,8907 = 0,1093 p(x ≤ −1,2) 23
  57. Ejemplos p(x ≥ 1,23) = 1 − p(z ≤ 1,23)

    = 1 − 0,8907 = 0,1093 p(x ≤ −1,2) = p(z ≥ 1,2) = 23
  58. Ejemplos p(x ≥ 1,23) = 1 − p(z ≤ 1,23)

    = 1 − 0,8907 = 0,1093 p(x ≤ −1,2) = p(z ≥ 1,2) = 1 − p(z ≤ 1,2) 23
  59. Ejemplos p(x ≥ 1,23) = 1 − p(z ≤ 1,23)

    = 1 − 0,8907 = 0,1093 p(x ≤ −1,2) = p(z ≥ 1,2) = 1 − p(z ≤ 1,2) = 1 − 0,8849 = 0,1151 23
  60. Ejemplos p(x ≥ 1,23) = 1 − p(z ≤ 1,23)

    = 1 − 0,8907 = 0,1093 p(x ≤ −1,2) = p(z ≥ 1,2) = 1 − p(z ≤ 1,2) = 1 − 0,8849 = 0,1151 p(x ≥ −1,2) 23
  61. Ejemplos p(x ≥ 1,23) = 1 − p(z ≤ 1,23)

    = 1 − 0,8907 = 0,1093 p(x ≤ −1,2) = p(z ≥ 1,2) = 1 − p(z ≤ 1,2) = 1 − 0,8849 = 0,1151 p(x ≥ −1,2) = p(z ≤ 1,2) 23
  62. Ejemplos p(x ≥ 1,23) = 1 − p(z ≤ 1,23)

    = 1 − 0,8907 = 0,1093 p(x ≤ −1,2) = p(z ≥ 1,2) = 1 − p(z ≤ 1,2) = 1 − 0,8849 = 0,1151 p(x ≥ −1,2) = p(z ≤ 1,2) = 0,8849 23
  63. Ejemplos p(x ≥ 1,23) = 1 − p(z ≤ 1,23)

    = 1 − 0,8907 = 0,1093 p(x ≤ −1,2) = p(z ≥ 1,2) = 1 − p(z ≤ 1,2) = 1 − 0,8849 = 0,1151 p(x ≥ −1,2) = p(z ≤ 1,2) = 0,8849 p(−1,1 ≤ z ≤ 2,12) = 23
  64. Ejemplos p(x ≥ 1,23) = 1 − p(z ≤ 1,23)

    = 1 − 0,8907 = 0,1093 p(x ≤ −1,2) = p(z ≥ 1,2) = 1 − p(z ≤ 1,2) = 1 − 0,8849 = 0,1151 p(x ≥ −1,2) = p(z ≤ 1,2) = 0,8849 p(−1,1 ≤ z ≤ 2,12) = p(z ≤ 2,12) − p(z ≤ −1,1) = 23
  65. Ejemplos p(x ≥ 1,23) = 1 − p(z ≤ 1,23)

    = 1 − 0,8907 = 0,1093 p(x ≤ −1,2) = p(z ≥ 1,2) = 1 − p(z ≤ 1,2) = 1 − 0,8849 = 0,1151 p(x ≥ −1,2) = p(z ≤ 1,2) = 0,8849 p(−1,1 ≤ z ≤ 2,12) = p(z ≤ 2,12) − p(z ≤ −1,1) = = p(z ≤ 2,12) − p(z ≥ 1,1) = 23
  66. Ejemplos p(x ≥ 1,23) = 1 − p(z ≤ 1,23)

    = 1 − 0,8907 = 0,1093 p(x ≤ −1,2) = p(z ≥ 1,2) = 1 − p(z ≤ 1,2) = 1 − 0,8849 = 0,1151 p(x ≥ −1,2) = p(z ≤ 1,2) = 0,8849 p(−1,1 ≤ z ≤ 2,12) = p(z ≤ 2,12) − p(z ≤ −1,1) = = p(z ≤ 2,12) − p(z ≥ 1,1) = = p(z ≤ 2,12) − [1 − p(z ≤ 1,1)] 23
  67. Ejemplos p(x ≥ 1,23) = 1 − p(z ≤ 1,23)

    = 1 − 0,8907 = 0,1093 p(x ≤ −1,2) = p(z ≥ 1,2) = 1 − p(z ≤ 1,2) = 1 − 0,8849 = 0,1151 p(x ≥ −1,2) = p(z ≤ 1,2) = 0,8849 p(−1,1 ≤ z ≤ 2,12) = p(z ≤ 2,12) − p(z ≤ −1,1) = = p(z ≤ 2,12) − p(z ≥ 1,1) = = p(z ≤ 2,12) − [1 − p(z ≤ 1,1)] = 0,9830 − (1 − 0,8643) = 0,8473 23
  68. C´ alculo del valor de z conociendo la probabilidad Las

    probabilidades que aparecen en la tabla siempre son mayores o iguales que 0,5 o menores o iguales 1 y siempre asociadas al signo ≤, estudiemos los casos que pueden aparecer: 24
  69. C´ alculo del valor de z conociendo la probabilidad Las

    probabilidades que aparecen en la tabla siempre son mayores o iguales que 0,5 o menores o iguales 1 y siempre asociadas al signo ≤, estudiemos los casos que pueden aparecer: p(z ≤ k) ≥ 0,5 p(z ≤ k) = 0,7834 Es la situaci´ on de la tabla y s´ olo hay que buscar dicha probabilidad. En nuestro caso, la probabilidad no aparece siendo las mas cercanas:    p(z ≤ 0,78) = 0,7823 p(z ≤ 0,79) = 0,7852 Nuestra probabilidad est´ a casi en medio de las dos y por tanto cogeremos el valor del medio: k = 0,78 + 0,79 2 = 0,785 24
  70. C´ alculo del valor de z conociendo la probabilidad p(z

    ≥ k) = 0,2206 z k 0,2206 0,7794 Buscamos en la tabla el valor 0,7794 → k = 0,77 25
  71. C´ alculo del valor de z conociendo la probabilidad p(z

    ≥ k) = 0,7794 z k 0,7794 z −k 0,7794 Buscamos en la tabla el valor 0,7794 → −k = 0,77 → k = −0,77 26
  72. p(z ≤ k) = 0,2345 Como la probabilidad es m´

    as peque˜ na que 0,5 el valor que buscamos es negativo: z k p(z ≤ k) = 0,2345 z −k 0,2345 0,7655 Buscamos en la tabla el valor 0,7655 → −k = 0,725 → k = 0,725 27
  73. Distribuciones X : N(µ, σ) = Z : N(0, 1)

    Cuando la distribuci´ on no es Z : N(0, 1) hay que tipificar la variable para poder usar la tabla:    X : N(µ, σ) z = x − µ σ −→ Z : N(0, 1) 28
  74. Ejemplo X : N(7, 2) 1. C´ alculo de la

    probabilidad p(x ≤ 10) = p z ≤ 10 − 7 2 = p(z ≤ 1,5) = 0,9932 29
  75. Ejemplo X : N(7, 2) 1. C´ alculo de la

    probabilidad p(x ≤ 10) = p z ≤ 10 − 7 2 = p(z ≤ 1,5) = 0,9932 2. C´ alculo del valor p(x ≤ k) = 0,25 → p z ≤ k − 7 2 = 0,25 z k − 7 2 0,25 z − k − 7 2 0,75 0,25 Buscamos 0,75 en la tabla y: − k − 7 2 = 0,675 → k − 7 2 = −0,675 → k = 7 − 2 · (0,675) = 5,65 29
  76. Ejemplo Ejemplo Una conocida marca de televisores afirma que la

    duraci´ on de sus aparatos sin efectuar reparaciones, sigue una distribuci´ on normal de media 9 a˜ nos y desviaci´ on t´ ıpica 1,2 a˜ nos. 30
  77. Ejemplo Ejemplo Una conocida marca de televisores afirma que la

    duraci´ on de sus aparatos sin efectuar reparaciones, sigue una distribuci´ on normal de media 9 a˜ nos y desviaci´ on t´ ıpica 1,2 a˜ nos. 1. Calcular la probabilidad de que un aparato de televisi´ on dure entre 8 y 11 a˜ nos. 30
  78. Ejemplo Ejemplo Una conocida marca de televisores afirma que la

    duraci´ on de sus aparatos sin efectuar reparaciones, sigue una distribuci´ on normal de media 9 a˜ nos y desviaci´ on t´ ıpica 1,2 a˜ nos. 1. Calcular la probabilidad de que un aparato de televisi´ on dure entre 8 y 11 a˜ nos. p(8 ≤ X ≤ 11) = p 8 − 9 1,2 ≤ z ≤ 11 − 9 1,2 = p(−0,83 ≤ z ≤ 1,67) = p(z ≤ 1,67) − p(z ≤ −0,83)    p(z ≤ 1,67) = 0,9525 p(z ≤ −0,83) = p(z ≥ 0,83) = 1 − p(z ≤ 0,83) = 1 − 0,7967 = 0,2033 → p(8 ≤ X ≤ 11) = 0,9525 − 0,2033 = 0,7492 30
  79. Ejemplo Ejemplo Una conocida marca de televisores afirma que la

    duraci´ on de sus aparatos sin efectuar reparaciones, sigue una distribuci´ on normal de media 9 a˜ nos y desviaci´ on t´ ıpica 1,2 a˜ nos. 1. 2. El fabricante garantiza el buen funcionamiento de los televisores durante 5,5 a˜ nos. ¿Qu´ e porcentaje de televisores se espera que no cumplan la garant´ ıa? 30
  80. Ejemplo Ejemplo Una conocida marca de televisores afirma que la

    duraci´ on de sus aparatos sin efectuar reparaciones, sigue una distribuci´ on normal de media 9 a˜ nos y desviaci´ on t´ ıpica 1,2 a˜ nos. 1. 2. El fabricante garantiza el buen funcionamiento de los televisores durante 5,5 a˜ nos. ¿Qu´ e porcentaje de televisores se espera que no cumplan la garant´ ıa? p(X ≤ 5,5) = p z ≤ 5,5 − 9 1,2 = p(z ≤ −2,92) p(z ≤ −2,92) = p(z ≥ 2,92) = 1 − p(z ≤ 2,92) = 1 − 0, 9982 = 0,0018 Luego el porcentaje de televisores que no cumplen la garant´ ıa es del 0,18 % 30
  81. Binomial → Normal Cuando el n´ umero de veces que

    se realiza un experimento en una distribuci´ on binomial es muy grande y n · p y n · q son mayores que 3 la distribuci´ on binomial se aproxima a una distribuci´ on normal y si superan a 5 la aproximaci´ on es perfecta. La media y la desviaci´ on t´ ıpica de la normal ser´ an la media y la desviaci´ on t´ ıpica de la binomial.    n · p ≥ 5 n · q ≥ 5 X : B(n, p) → X : N(n · p, √ n · p · q) 31
  82. Binomial → Normal Cuando el n´ umero de veces que

    se realiza un experimento en una distribuci´ on binomial es muy grande y n · p y n · q son mayores que 3 la distribuci´ on binomial se aproxima a una distribuci´ on normal y si superan a 5 la aproximaci´ on es perfecta. La media y la desviaci´ on t´ ıpica de la normal ser´ an la media y la desviaci´ on t´ ıpica de la binomial.    n · p ≥ 5 n · q ≥ 5 X : B(n, p) → X : N(n · p, √ n · p · q) Como se pasa de una distribuci´ on discreta a una continua tenemos que usar un factor de correci´ on: Binomial Normal p(x < k) p(x ≤ k − 0,5) p(x ≤ k) p(x ≤ k + 0,5) p(x > k) p(x ≤ k + 0,5) p(x ≥ k) p(x ≤ k − 0,5) p(x = k) p(k − 0,5 ≤ x ≤ k + 0,5) 31
  83. Ejemplo Ejemplo La probabilidad de aprobar el examen te´ orico

    del carnet de conducir es p = 0,7. Si un d´ ıa se presentan 80 alumnos, ¿ cu´ al es la probabilidad de que aprueben por los menos 60 personas? 32
  84. Ejemplo Ejemplo La probabilidad de aprobar el examen te´ orico

    del carnet de conducir es p = 0,7. Si un d´ ıa se presentan 80 alumnos, ¿ cu´ al es la probabilidad de que aprueben por los menos 60 personas?        X : B(80, 0,7) np = 80 · 0,7 = 56 nq = 80 · 0,3 = 24 32
  85. Ejemplo Ejemplo La probabilidad de aprobar el examen te´ orico

    del carnet de conducir es p = 0,7. Si un d´ ıa se presentan 80 alumnos, ¿ cu´ al es la probabilidad de que aprueben por los menos 60 personas?        X : B(80, 0,7) np = 80 · 0,7 = 56 nq = 80 · 0,3 = 24 →    µ = np = 56 σ = √ npq = √ 80 · 0,7 · 0,3 = 4,1 32
  86. Ejemplo Ejemplo La probabilidad de aprobar el examen te´ orico

    del carnet de conducir es p = 0,7. Si un d´ ıa se presentan 80 alumnos, ¿ cu´ al es la probabilidad de que aprueben por los menos 60 personas?        X : B(80, 0,7) np = 80 · 0,7 = 56 nq = 80 · 0,3 = 24 →    µ = np = 56 σ = √ npq = √ 80 · 0,7 · 0,3 = 4,1 → X : N(56, 4,1) 32
  87. Ejemplo Ejemplo La probabilidad de aprobar el examen te´ orico

    del carnet de conducir es p = 0,7. Si un d´ ıa se presentan 80 alumnos, ¿ cu´ al es la probabilidad de que aprueben por los menos 60 personas?        X : B(80, 0,7) np = 80 · 0,7 = 56 nq = 80 · 0,3 = 24 →    µ = np = 56 σ = √ npq = √ 80 · 0,7 · 0,3 = 4,1 → X : N(56, 4,1) p(x ≥ 60) = p(x ≥ 59,5) = p(z ≥ 59,5 − 56 4,1 ) = 32
  88. Ejemplo Ejemplo La probabilidad de aprobar el examen te´ orico

    del carnet de conducir es p = 0,7. Si un d´ ıa se presentan 80 alumnos, ¿ cu´ al es la probabilidad de que aprueben por los menos 60 personas?        X : B(80, 0,7) np = 80 · 0,7 = 56 nq = 80 · 0,3 = 24 →    µ = np = 56 σ = √ npq = √ 80 · 0,7 · 0,3 = 4,1 → X : N(56, 4,1) p(x ≥ 60) = p(x ≥ 59,5) = p(z ≥ 59,5 − 56 4,1 ) = = p(z ≥ 0,85) = 1 − p(z ≤ 0,85) = 1 − 0,8023 = 0,1977 32
  89. Ejercicio El 62 % de los estudiantes universitarios son mujeres.

    Si, de estos estudiantes, se toma una muestra aleatoria de tama˜ no igual a 150. 1. ¿Cu´ al es el n´ umero esperado de mujeres? 2. ¿Cu´ al es la probabilidad de que, como m´ ınimo, 100 sean mujeres? 3. ¿Cu´ al es la probabilidad de que haya m´ as de 85 y menos de 95 mujeres?. 33
  90. Ejercicio El 62 % de los estudiantes universitarios son mujeres.

    Si, de estos estudiantes, se toma una muestra aleatoria de tama˜ no igual a 150. 1. ¿Cu´ al es el n´ umero esperado de mujeres? 2. ¿Cu´ al es la probabilidad de que, como m´ ınimo, 100 sean mujeres? 3. ¿Cu´ al es la probabilidad de que haya m´ as de 85 y menos de 95 mujeres?. 1. µ = 93 33
  91. Ejercicio El 62 % de los estudiantes universitarios son mujeres.

    Si, de estos estudiantes, se toma una muestra aleatoria de tama˜ no igual a 150. 1. ¿Cu´ al es el n´ umero esperado de mujeres? 2. ¿Cu´ al es la probabilidad de que, como m´ ınimo, 100 sean mujeres? 3. ¿Cu´ al es la probabilidad de que haya m´ as de 85 y menos de 95 mujeres?. 1. µ = 93 2. X : B(150, 0,62) → X : N(93, 5,94) → p(x ≥ 100) = p(x ≥ 99,5) = 0,1379 33
  92. Ejercicio El 62 % de los estudiantes universitarios son mujeres.

    Si, de estos estudiantes, se toma una muestra aleatoria de tama˜ no igual a 150. 1. ¿Cu´ al es el n´ umero esperado de mujeres? 2. ¿Cu´ al es la probabilidad de que, como m´ ınimo, 100 sean mujeres? 3. ¿Cu´ al es la probabilidad de que haya m´ as de 85 y menos de 95 mujeres?. 1. µ = 93 2. X : B(150, 0,62) → X : N(93, 5,94) → p(x ≥ 100) = p(x ≥ 99,5) = 0,1379 3. p(85 < x < 95) = p(85,5 ≤ x ≤ 94,5) = 0,4949 33