Upgrade to Pro
— share decks privately, control downloads, hide ads and more …
Speaker Deck
Features
Speaker Deck
PRO
Sign in
Sign up for free
Search
Search
2025年度春学期 統計学 第13回 不確かな測定の不確かさを測る ー 不偏分散とt分布 (2...
Search
Akira Asano
PRO
June 24, 2025
Education
170
0
Share
2025年度春学期 統計学 第13回 不確かな測定の不確かさを測る ー 不偏分散とt分布 (2025. 7. 3)
関西大学総合情報学部 統計学(担当・浅野晃)
http://racco.mikeneko.jp/Kougi/2025s/STAT/
Akira Asano
PRO
June 24, 2025
More Decks by Akira Asano
See All by Akira Asano
2026年度春学期 統計学 第9回 確からしさを記述する ー 確率 (2026. 5. 28)
akiraasano
PRO
0
12
2026年度春学期 統計学 第7回 データの関係を知る(2)ー 回帰と決定係数 (2026. 5. 21)
akiraasano
PRO
0
24
2026年度春学期 統計学 第8回(オンデマンド配信回) 演習(1)・問題に対する答案の書き方 (2026. 5. 21)
akiraasano
PRO
0
19
2026年度春学期 統計学 第6回 データの関係を知る(1)ー 相関関係 (2026. 5. 14)
akiraasano
PRO
0
92
2026年度春学期 統計学 第5回 分布をまとめるー記述統計量(平均・分散など) (2026. 5. 7)
akiraasano
PRO
0
110
2026年度春学期 統計学 第4回 データを「分布」で見る (2026. 4. 30)
akiraasano
PRO
0
110
2026年度春学期 統計学 第3回 クロス集計と感度・特異度,データの可視化 (2026. 4. 23)
akiraasano
PRO
0
120
2026年度春学期 統計学 講義の進め方と成績評価について (2026. 4. 9)
akiraasano
PRO
0
150
2026年度春学期 統計学 第1回 イントロダクション ー 統計的なものの見方・考え方について (2026. 4. 9)
akiraasano
PRO
0
120
Other Decks in Education
See All in Education
GitHubによるWebアプリケーションのデプロイ / 07-github-deploy
kaityo256
PRO
2
280
Referendum Costituzionale Giustizia
nostradalmine
0
140
What workforce agencies must have in place to compete for and deliver on RESTART grants
territorium
PRO
0
150
Data Physicalisation - Lecture 9 - Next Generation User Interfaces (4018166FNR)
signer
PRO
1
970
Modelamiento Matematico (Ingresantes UNI 2026)
robintux
0
280
From Participation to Outcomes
territorium
PRO
0
450
アントレプレナーシップ教育機構 概要
sciencetokyo
PRO
0
2.9k
Dashboards - Lecture 11 - Information Visualisation (4019538FNR)
signer
PRO
1
2.6k
Tangible, Embedded and Embodied Interaction - Lecture 7 - Next Generation User Interfaces (4018166FNR)
signer
PRO
0
2.2k
演習:Gitの基本操作 / 04-git-basic
kaityo256
PRO
1
500
Fulbright DAI 2025 學人經驗分享
joannie
0
830
反応する前に「受容する」力を鍛える。 自分の安全地帯🌱 を育てよう / Cultivating and sharing ventral vagal safety.
spring_aki
0
160
Featured
See All Featured
[RailsConf 2023 Opening Keynote] The Magic of Rails
eileencodes
31
10k
DevOps and Value Stream Thinking: Enabling flow, efficiency and business value
helenjbeal
1
190
From Legacy to Launchpad: Building Startup-Ready Communities
dugsong
0
210
Evolution of real-time – Irina Nazarova, EuRuKo, 2024
irinanazarova
9
1.3k
The State of eCommerce SEO: How to Win in Today's Products SERPs - #SEOweek
aleyda
2
10k
Principles of Awesome APIs and How to Build Them.
keavy
128
17k
How to audit for AI Accessibility on your Front & Back End
davetheseo
0
360
Building Experiences: Design Systems, User Experience, and Full Site Editing
marktimemedia
0
500
jQuery: Nuts, Bolts and Bling
dougneiner
66
8.4k
コードの90%をAIが書く世界で何が待っているのか / What awaits us in a world where 90% of the code is written by AI
rkaga
61
44k
The Psychology of Web Performance [Beyond Tellerrand 2023]
tammyeverts
49
3.4k
Jess Joyce - The Pitfalls of Following Frameworks
techseoconnect
PRO
1
150
Transcript
関西大学総合情報学部 浅野 晃 統計学 2025年度春学期 第13回 不確かな測定の不確かさを測る ― 不偏分散とt分布
ちょっと(ほんのちょっと) 前回までの復習
34 2025年年度春学期 統計学/ 関西大学総合情報学部 浅野 晃 正規分布の場合の区間推定 3 例題 標本 をとりだす サイズ X1 ,
X2 , …, Xn n 母集団 (受験者全体) 母平均 μ 母平均 の95%信頼区間が知りたい μ 正規分布 と仮定する 母分散 がわかっているものとする σ2 (説明の都合です) 標本平均 ¯ X
34 2025年年度春学期 統計学/ 関西大学総合情報学部 浅野 晃 区間推定の考え方 4 数値をいくつか抽出して標本平均 標本平均にすることで ばらつきが小さくなる 母平均(実際にはわからない) のまわりにばらついている 標本平均の期待値
=母平均 標本平均の分散 =母分散÷標本サイズ ¯ X ¯ X ¯ X ¯ X ★ ★ ★ ★
34 2025年年度春学期 統計学/ 関西大学総合情報学部 浅野 晃 区間推定の考え方 5 標本平均の左右に区間をつける 区間は母平均を どの回の区間が 母平均を含むか・含まないかは わからないが 確率95%で母平均を含むように
区間の幅を設定できる (実際にはわからない) 標本平均はばらついているが,前後に区間をつければ,母平均はたいてい その区間に入っているようにできる 母平均 ¯ X 含む 含む 含まない 含む ¯ X ¯ X ¯ X
34 2025年年度春学期 統計学/ 関西大学総合情報学部 浅野 晃 信頼区間 6 95%という大きな確率で 母平均を含むように設定した区間だから, その1回でも含むと信じる 母平均の [信頼係数]95%の [信頼区間]
という ([95%信頼区間]) 区間は母平均を 母平均 ¯ X 含むだろう 含む 含ま ない 含む (実際にはわからない) ¯ X ¯ X ¯ X
不偏分散💡💡
34 2025年年度春学期 統計学/ 関西大学総合情報学部 浅野 晃 正規分布の場合の区間推定 8 例題 標本 をとりだす サイズ X1 ,
X2 , …, Xn n 母集団 (受験者全体) 母平均 μ 母平均 の95%信頼区間が知りたい μ 正規分布 と仮定する 母分散 がわかっているものとする σ2 (説明の都合です) 標本平均 ¯ X
34 2025年年度春学期 統計学/ 関西大学総合情報学部 浅野 晃 母分散は,ふつうはわからない 9 母集団全体は調べていないし,母平均もわからない (わからないから,いま推定しようとしている)
34 2025年年度春学期 統計学/ 関西大学総合情報学部 浅野 晃 母分散は,ふつうはわからない 9 それなのに,母分散がわかるはずがない 母集団全体は調べていないし,母平均もわからない (わからないから,いま推定しようとしている)
34 2025年年度春学期 統計学/ 関西大学総合情報学部 浅野 晃 母分散は,ふつうはわからない 9 それなのに,母分散がわかるはずがない 母集団全体は調べていないし,母平均もわからない (わからないから,いま推定しようとしている) 母分散の「代用品」を,標本を使って計算できないか。
34 2025年年度春学期 統計学/ 関西大学総合情報学部 浅野 晃 標本を使って分散を計算 10 分散=(偏差)2の平均
34 2025年年度春学期 統計学/ 関西大学総合情報学部 浅野 晃 標本を使って分散を計算 10 分散=(偏差)2の平均
34 2025年年度春学期 統計学/ 関西大学総合情報学部 浅野 晃 標本を使って分散を計算 10 分散=(偏差)2の平均 (データの各数値)ー(データの平均)
34 2025年年度春学期 統計学/ 関西大学総合情報学部 浅野 晃 標本を使って分散を計算 10 標本を使って分散を計算する。 分散=(偏差)2の平均 (データの各数値)ー(データの平均)
34 2025年年度春学期 統計学/ 関西大学総合情報学部 浅野 晃 標本を使って分散を計算 10 標本を使って分散を計算する。 分散=(偏差)2の平均 (データの各数値)ー(データの平均) データ: 標本 , ...
X1 Xn
34 2025年年度春学期 統計学/ 関西大学総合情報学部 浅野 晃 標本を使って分散を計算 10 標本を使って分散を計算する。 分散=(偏差)2の平均 (データの各数値)ー(データの平均) データ: 標本 , ...
X1 Xn データの平均:
34 2025年年度春学期 統計学/ 関西大学総合情報学部 浅野 晃 標本を使って分散を計算 10 標本を使って分散を計算する。 分散=(偏差)2の平均 (データの各数値)ー(データの平均) データ: 標本 , ...
X1 Xn データの平均: 本当は母平均だが,
34 2025年年度春学期 統計学/ 関西大学総合情報学部 浅野 晃 標本を使って分散を計算 10 標本を使って分散を計算する。 分散=(偏差)2の平均 (データの各数値)ー(データの平均) データ: 標本 , ...
X1 Xn わからないので標本平均 で代用 ¯ X データの平均: 本当は母平均だが,
34 2025年年度春学期 統計学/ 関西大学総合情報学部 浅野 晃 標本を使って分散を計算 11 標本を使った分散 S2 = 1 n (X1
− ¯ X)2 + (X2 − ¯ X)2 + · · · + (Xn − ¯ X)2
34 2025年年度春学期 統計学/ 関西大学総合情報学部 浅野 晃 標本を使って分散を計算 11 標本を使った分散 S2 = 1 n (X1
− ¯ X)2 + (X2 − ¯ X)2 + · · · + (Xn − ¯ X)2
34 2025年年度春学期 統計学/ 関西大学総合情報学部 浅野 晃 標本を使って分散を計算 11 標本サイズで割る 標本を使った分散 S2 = 1 n
(X1 − ¯ X)2 + (X2 − ¯ X)2 + · · · + (Xn − ¯ X)2
34 2025年年度春学期 統計学/ 関西大学総合情報学部 浅野 晃 標本を使って分散を計算 11 標本サイズで割る 標本を使った分散 S2 = 1 n
(X1 − ¯ X)2 + (X2 − ¯ X)2 + · · · + (Xn − ¯ X)2 分散=(偏差)2の平均 だから当然だけど…
34 2025年年度春学期 統計学/ 関西大学総合情報学部 浅野 晃 標本を使って分散を計算 11 標本サイズで割る 標本を使った分散 S2 = 1 n
(X1 − ¯ X)2 + (X2 − ¯ X)2 + · · · + (Xn − ¯ X)2 分散=(偏差)2の平均 だから当然だけど… 本当にこれでいいの?
34 2025年年度春学期 統計学/ 関西大学総合情報学部 浅野 晃 標本平均を用いた偏差 12 標本サイズ とする n = 2 標本は
X1 , X2
34 2025年年度春学期 統計学/ 関西大学総合情報学部 浅野 晃 標本平均を用いた偏差 12 標本サイズ とする n = 2 標本は
X1 , X2
34 2025年年度春学期 統計学/ 関西大学総合情報学部 浅野 晃 標本平均を用いた偏差 12 標本サイズ とする n = 2 標本は
X1 , X2 X1
34 2025年年度春学期 統計学/ 関西大学総合情報学部 浅野 晃 標本平均を用いた偏差 12 標本サイズ とする n = 2 標本は
X1 , X2 X1 X2
34 2025年年度春学期 統計学/ 関西大学総合情報学部 浅野 晃 標本平均を用いた偏差 12 標本サイズ とする n = 2 標本は
X1 , X2 X1 X2 母平均
34 2025年年度春学期 統計学/ 関西大学総合情報学部 浅野 晃 標本平均を用いた偏差 12 標本サイズ とする n = 2 標本は
X1 , X2 X1 X2 母平均
34 2025年年度春学期 統計学/ 関西大学総合情報学部 浅野 晃 標本平均を用いた偏差 12 標本サイズ とする n = 2 標本は
X1 , X2 X1 母平均とのへだたり(偏差) X2 母平均
34 2025年年度春学期 統計学/ 関西大学総合情報学部 浅野 晃 標本平均を用いた偏差 12 標本サイズ とする n = 2 標本は
X1 , X2 ¯ X X1 母平均とのへだたり(偏差) X2 母平均
34 2025年年度春学期 統計学/ 関西大学総合情報学部 浅野 晃 標本平均を用いた偏差 12 標本サイズ とする n = 2 標本は
X1 , X2 ¯ X X1 母平均とのへだたり(偏差) X2 母平均
34 2025年年度春学期 統計学/ 関西大学総合情報学部 浅野 晃 標本平均を用いた偏差 12 標本サイズ とする n = 2 標本は
X1 , X2 ¯ X X1 母平均とのへだたり(偏差) X2 標本平均とのへだたり 母平均
34 2025年年度春学期 統計学/ 関西大学総合情報学部 浅野 晃 標本平均を用いた偏差 12 標本サイズ とする n = 2 標本は
X1 , X2 ¯ X X1 母平均とのへだたり(偏差) X2 標本平均とのへだたり 母平均
34 2025年年度春学期 統計学/ 関西大学総合情報学部 浅野 晃 標本平均を用いた偏差 12 標本サイズ とする n = 2 標本は
X1 , X2 ¯ X X1 母平均とのへだたり(偏差) X1 X2 標本平均とのへだたり 母平均
34 2025年年度春学期 統計学/ 関西大学総合情報学部 浅野 晃 標本平均を用いた偏差 12 標本サイズ とする n = 2 標本は
X1 , X2 ¯ X X1 X2 母平均とのへだたり(偏差) X1 X2 標本平均とのへだたり 母平均
34 2025年年度春学期 統計学/ 関西大学総合情報学部 浅野 晃 標本平均を用いた偏差 12 標本サイズ とする n = 2 標本は
X1 , X2 ¯ X X1 X2 母平均とのへだたり(偏差) X1 X2 標本平均とのへだたり 母平均
34 2025年年度春学期 統計学/ 関西大学総合情報学部 浅野 晃 標本平均を用いた偏差 12 標本サイズ とする n = 2 標本は
X1 , X2 ¯ X X1 X2 母平均とのへだたり(偏差) X1 X2 ¯ X 標本平均とのへだたり 母平均
34 2025年年度春学期 統計学/ 関西大学総合情報学部 浅野 晃 標本平均を用いた偏差 12 標本サイズ とする n = 2 標本は
X1 , X2 ¯ X X1 X2 母平均とのへだたり(偏差) X1 X2 ¯ X 標本平均とのへだたり 母平均
34 2025年年度春学期 統計学/ 関西大学総合情報学部 浅野 晃 標本平均を用いた偏差 12 標本サイズ とする n = 2 標本は
X1 , X2 ¯ X X1 X2 母平均とのへだたり(偏差) X1 X2 ¯ X 標本平均とのへだたり 母平均
34 2025年年度春学期 統計学/ 関西大学総合情報学部 浅野 晃 標本平均を用いた偏差 12 標本サイズ とする n = 2 標本は
X1 , X2 ¯ X X1 X2 母平均とのへだたり(偏差) X1 X2 ¯ X 標本平均とのへだたり X1 母平均
34 2025年年度春学期 統計学/ 関西大学総合情報学部 浅野 晃 標本平均を用いた偏差 12 標本サイズ とする n = 2 標本は
X1 , X2 ¯ X X1 X2 母平均とのへだたり(偏差) X1 X2 ¯ X 標本平均とのへだたり X2 X1 母平均
34 2025年年度春学期 統計学/ 関西大学総合情報学部 浅野 晃 標本平均を用いた偏差 12 標本サイズ とする n = 2 標本は
X1 , X2 ¯ X X1 X2 母平均とのへだたり(偏差) X1 X2 ¯ X 標本平均とのへだたり X2 X1 母平均
34 2025年年度春学期 統計学/ 関西大学総合情報学部 浅野 晃 標本平均を用いた偏差 12 標本サイズ とする n = 2 標本は
X1 , X2 ¯ X X1 X2 母平均とのへだたり(偏差) X1 X2 ¯ X 標本平均とのへだたり X2 X1 ¯ X 母平均
34 2025年年度春学期 統計学/ 関西大学総合情報学部 浅野 晃 標本平均を用いた偏差 12 標本サイズ とする n = 2 標本は
X1 , X2 ¯ X X1 X2 母平均とのへだたり(偏差) X1 X2 ¯ X 標本平均とのへだたり X2 X1 ¯ X 母平均
34 2025年年度春学期 統計学/ 関西大学総合情報学部 浅野 晃 標本平均を用いた偏差 12 標本サイズ とする n = 2 標本は
X1 , X2 ¯ X X1 X2 母平均とのへだたり(偏差) X1 X2 ¯ X 標本平均とのへだたり X2 X1 ¯ X 母平均 母平均はわからないから, が 偏った標本かどうかはわからないが, X1 , X2
34 2025年年度春学期 統計学/ 関西大学総合情報学部 浅野 晃 標本平均を用いた偏差 12 標本サイズ とする n = 2 標本は
X1 , X2 ¯ X X1 X2 母平均とのへだたり(偏差) X1 X2 ¯ X 標本平均とのへだたり X2 X1 ¯ X 標本平均とのへだたりのほう がたいてい小さい 母平均 母平均はわからないから, が 偏った標本かどうかはわからないが, X1 , X2
34 2025年年度春学期 統計学/ 関西大学総合情報学部 浅野 晃 標本平均を用いた偏差 13 別の説明 母集団の度数分布
34 2025年年度春学期 統計学/ 関西大学総合情報学部 浅野 晃 標本平均を用いた偏差 13 別の説明 母集団の度数分布
34 2025年年度春学期 統計学/ 関西大学総合情報学部 浅野 晃 標本平均を用いた偏差 13 別の説明 母集団の度数分布 ¯ X
34 2025年年度春学期 統計学/ 関西大学総合情報学部 浅野 晃 標本平均を用いた偏差 13 別の説明 母集団の度数分布 これなら 「標本平均との隔たり」と 「母平均との隔たり」は かわらない
¯ X
34 2025年年度春学期 統計学/ 関西大学総合情報学部 浅野 晃 標本平均を用いた偏差 13 別の説明 母集団の度数分布 これなら 「標本平均との隔たり」と 「母平均との隔たり」は かわらない
¯ X
34 2025年年度春学期 統計学/ 関西大学総合情報学部 浅野 晃 標本平均を用いた偏差 13 別の説明 母集団の度数分布 これなら 「標本平均との隔たり」と 「母平均との隔たり」は かわらない
¯ X ¯ X
34 2025年年度春学期 統計学/ 関西大学総合情報学部 浅野 晃 標本平均を用いた偏差 13 別の説明 母集団の度数分布 これなら 「標本平均との隔たり」と 「母平均との隔たり」は かわらない
¯ X こんなふうに偏っていると 「標本平均との隔たり」 のほうが小さい ¯ X
34 2025年年度春学期 統計学/ 関西大学総合情報学部 浅野 晃 不偏分散 14 母平均との隔たりよりも 標本平均との隔たりのほうが たいてい小さい 標本平均との隔たりを使って分散を計算すると, 母分散よりもたいてい小さめになる
34 2025年年度春学期 統計学/ 関西大学総合情報学部 浅野 晃 不偏分散 14 母平均との隔たりよりも 標本平均との隔たりのほうが たいてい小さい 標本平均との隔たりを使って分散を計算すると, 母分散よりもたいてい小さめになる では,計算のときに少し大きめにしておけば?
34 2025年年度春学期 統計学/ 関西大学総合情報学部 浅野 晃 不偏分散 15 計算のときに少し大きめにする
34 2025年年度春学期 統計学/ 関西大学総合情報学部 浅野 晃 不偏分散 15 計算のときに少し大きめにする s2 = 1 n −
1 (X1 − ¯ X)2 + (X2 − ¯ X)2 + · · · + (Xn − ¯ X)2
34 2025年年度春学期 統計学/ 関西大学総合情報学部 浅野 晃 不偏分散 15 計算のときに少し大きめにする s2 = 1 n −
1 (X1 − ¯ X)2 + (X2 − ¯ X)2 + · · · + (Xn − ¯ X)2
34 2025年年度春学期 統計学/ 関西大学総合情報学部 浅野 晃 不偏分散 15 計算のときに少し大きめにする s2 = 1 n −
1 (X1 − ¯ X)2 + (X2 − ¯ X)2 + · · · + (Xn − ¯ X)2 (標本サイズ - 1)で割る
34 2025年年度春学期 統計学/ 関西大学総合情報学部 浅野 晃 不偏分散 15 計算のときに少し大きめにする s2 = 1 n −
1 (X1 − ¯ X)2 + (X2 − ¯ X)2 + · · · + (Xn − ¯ X)2 (標本サイズ - 1)で割る これを不偏分散(不偏標本分散)といい, 母分散の代用に用いる
34 2025年年度春学期 統計学/ 関西大学総合情報学部 浅野 晃 不偏分散 15 計算のときに少し大きめにする s2 = 1 n −
1 (X1 − ¯ X)2 + (X2 − ¯ X)2 + · · · + (Xn − ¯ X)2 (標本サイズ - 1)で割る これを不偏分散(不偏標本分散)といい, 母分散の代用に用いる 「不偏」とは?
34 2025年年度春学期 統計学/ 関西大学総合情報学部 浅野 晃 「不偏」とは? 16 計算のときに少し大きめにすると? 標本平均との隔たりを使って分散を計算すると, 母分散よりもたいてい小さめになる
34 2025年年度春学期 統計学/ 関西大学総合情報学部 浅野 晃 「不偏」とは? 16 計算のときに少し大きめにすると? 標本平均との隔たりを使って分散を計算すると, 母分散よりもたいてい小さめになる 母分散と一致するわけではないが 母分散より大きくも小さくも平等にはずれる
34 2025年年度春学期 統計学/ 関西大学総合情報学部 浅野 晃 「不偏」とは? 16 計算のときに少し大きめにすると? 標本平均との隔たりを使って分散を計算すると, 母分散よりもたいてい小さめになる 母分散と一致するわけではないが 母分散より大きくも小さくも平等にはずれる 「不偏」とは「えこひいきしない」こと
34 2025年年度春学期 統計学/ 関西大学総合情報学部 浅野 晃 標本サイズ=2のときに,式で書いてみると 17 標本サイズ=2のとき,標本を ,標本平均を とすると 不偏分散 は X1
, X2 ¯ X s2 s2 = 1 2 − 1 (X1 − ¯ X)2 + (X2 − ¯ X)2 {}内は,2つの「へだたり」の2乗の和? を代入すると ¯ X = X1 + X2 2 s2 = 1 2 − 1 (X1 − X1 + X2 2 )2 + (X2 − X1 + X2 2 )2 = 1 2 − 1 X1 − X2 2 2 + X2 − X1 2 2 = 1 2 − 1 (X1 − X2)2 2 「へだたり」は,ひとつしかない だから,2で割らずに1で割る
不偏分散を用いた区間推定💡💡
34 2025年年度春学期 統計学/ 関西大学総合情報学部 浅野 晃 正規分布の場合の区間推定 19 前回の例題 ある試験の点数の分布は正規分布であるとします。 この試験の受験者から,10人からなる標本を無作為抽出して, この人たちの点数を平均したところ50点でした。 この試験の受験者全体の標準偏差が5点であるとわかっている とき,受験者全体の平均点の95%信頼区間を求めてください。
34 2025年年度春学期 統計学/ 関西大学総合情報学部 浅野 晃 正規分布の場合の区間推定 20 例題 標本 をとりだす サイズ X1 ,
X2 , …, Xn n 母集団 (受験者全体) 母平均 μ 母平均 の95%信頼区間が知りたい μ 正規分布 と仮定する 母分散 がわかっているものとする σ2 (説明の都合です) 標本平均 ¯ X
34 2025年年度春学期 統計学/ 関西大学総合情報学部 浅野 晃 正規分布の場合の区間推定 21 考え方 標本は,母集団分布と同じ確率分布にしたがう 正規分布 N(μ, σ2) 標本平均は,やはり正規分布にしたがうが,
分散が になる 1/n 正規分布 N(μ, σ2/n) [性質2]
34 2025年年度春学期 統計学/ 関西大学総合情報学部 浅野 晃 正規分布の場合の区間推定 22 考え方 標本は,母集団分布と同じ確率分布にしたがう 正規分布 N(μ, σ2) 標本平均は,やはり正規分布にしたがうが,分散が
になる 1/n 正規分布 N(μ, σ2/n) [性質2] 正規分布の[性質1]により ¯ X Z = ¯ X − µ σ2/n は標準正規分布にしたがう N(0,1)
34 2025年年度春学期 統計学/ 関西大学総合情報学部 浅野 晃 正規分布の場合の区間推定 22 考え方 標本は,母集団分布と同じ確率分布にしたがう 正規分布 N(μ, σ2) 標本平均は,やはり正規分布にしたがうが,分散が
になる 1/n 正規分布 N(μ, σ2/n) [性質2] 正規分布の[性質1]により ¯ X Z = ¯ X − µ σ2/n は標準正規分布にしたがう N(0,1)
34 2025年年度春学期 統計学/ 関西大学総合情報学部 浅野 晃 正規分布の場合の区間推定 22 考え方 標本は,母集団分布と同じ確率分布にしたがう 正規分布 N(μ, σ2) 標本平均は,やはり正規分布にしたがうが,分散が
になる 1/n 正規分布 N(μ, σ2/n) [性質2] 正規分布の[性質1]により ¯ X Z = ¯ X − µ σ2/n は標準正規分布にしたがう N(0,1)
34 2025年年度春学期 統計学/ 関西大学総合情報学部 浅野 晃 正規分布の場合の区間推定 22 考え方 標本は,母集団分布と同じ確率分布にしたがう 正規分布 N(μ, σ2) 標本平均は,やはり正規分布にしたがうが,分散が
になる 1/n 正規分布 N(μ, σ2/n) [性質2] 正規分布の[性質1]により ¯ X Z = ¯ X − µ σ2/n は標準正規分布にしたがう N(0,1)
34 2025年年度春学期 統計学/ 関西大学総合情報学部 浅野 晃 本当は,母分散はわからない 23 Z = ¯ X − µ
σ2/n は標準正規分布にしたがう N(0,1)
34 2025年年度春学期 統計学/ 関西大学総合情報学部 浅野 晃 本当は,母分散はわからない 23 Z = ¯ X − µ
σ2/n は標準正規分布にしたがう N(0,1)
34 2025年年度春学期 統計学/ 関西大学総合情報学部 浅野 晃 本当は,母分散はわからない 23 Z = ¯ X − µ
σ2/n は標準正規分布にしたがう N(0,1) 本当は母分散はわからない
34 2025年年度春学期 統計学/ 関西大学総合情報学部 浅野 晃 本当は,母分散はわからない 23 Z = ¯ X − µ
σ2/n は標準正規分布にしたがう N(0,1) 本当は母分散はわからない 不偏分散で代用する
34 2025年年度春学期 統計学/ 関西大学総合情報学部 浅野 晃 本当は,母分散はわからない 23 Z = ¯ X − µ
σ2/n は標準正規分布にしたがう N(0,1) 本当は母分散はわからない 不偏分散で代用する t = ¯ X − µ s2/n
34 2025年年度春学期 統計学/ 関西大学総合情報学部 浅野 晃 本当は,母分散はわからない 23 Z = ¯ X − µ
σ2/n は標準正規分布にしたがう N(0,1) 本当は母分散はわからない 不偏分散で代用する t = ¯ X − µ s2/n
34 2025年年度春学期 統計学/ 関西大学総合情報学部 浅野 晃 本当は,母分散はわからない 23 Z = ¯ X − µ
σ2/n は標準正規分布にしたがう N(0,1) 本当は母分散はわからない 不偏分散で代用する t = ¯ X − µ s2/n 不偏分散
34 2025年年度春学期 統計学/ 関西大学総合情報学部 浅野 晃 本当は,母分散はわからない 23 Z = ¯ X − µ
σ2/n は標準正規分布にしたがう N(0,1) 本当は母分散はわからない 不偏分散で代用する t = ¯ X − µ s2/n 不偏分散 は何分布にしたがう? t
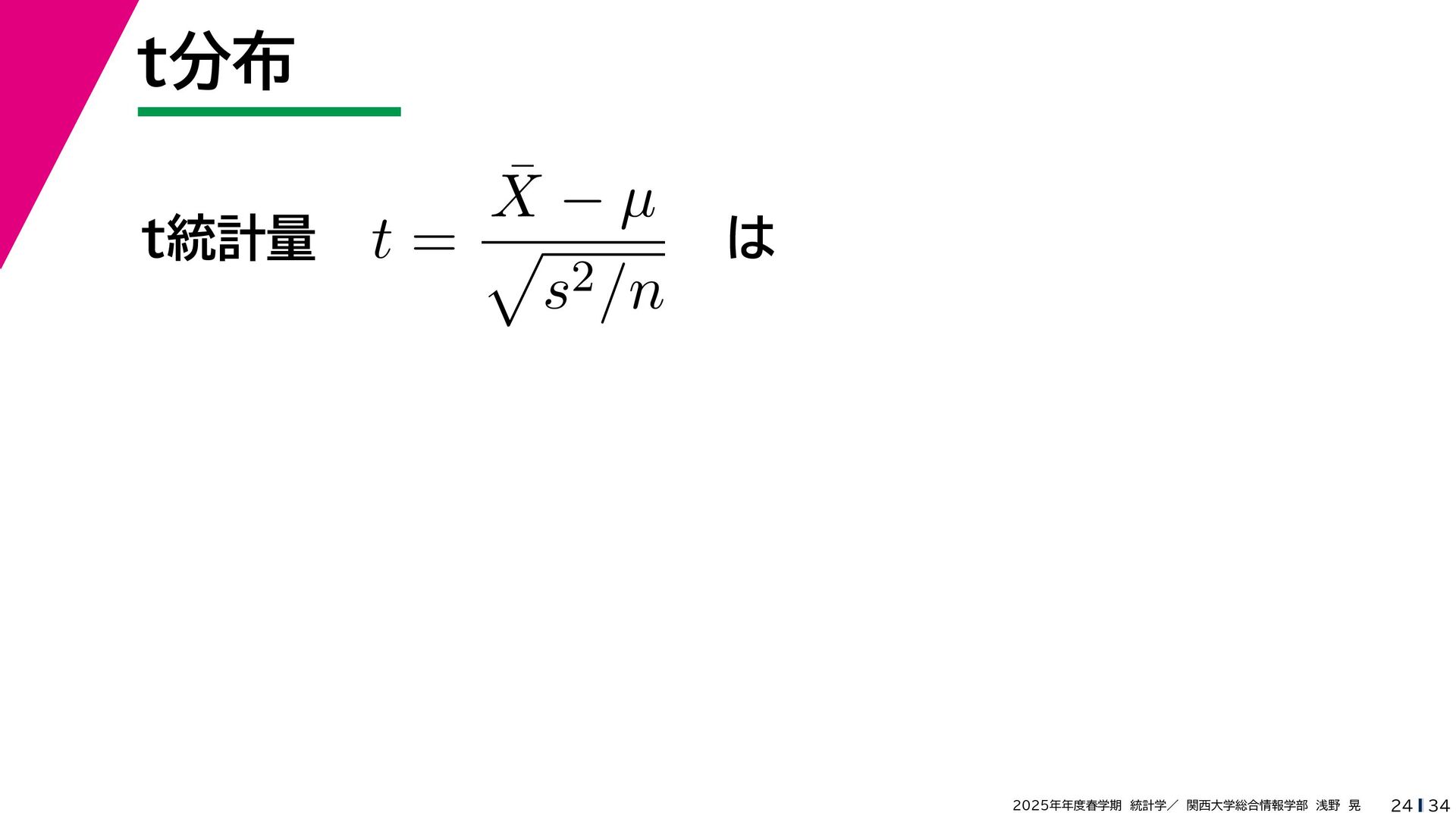
34 2025年年度春学期 統計学/ 関西大学総合情報学部 浅野 晃 t分布 24 は t = ¯ X −
µ s2/n t統計量
34 2025年年度春学期 統計学/ 関西大学総合情報学部 浅野 晃 t分布 24 は t = ¯ X −
µ s2/n 自由度 の t分布にしたがう (n − 1) t統計量
34 2025年年度春学期 統計学/ 関西大学総合情報学部 浅野 晃 t分布 24 は t(n − 1) t =
¯ X − µ s2/n 自由度 の t分布にしたがう (n − 1) t統計量
34 2025年年度春学期 統計学/ 関西大学総合情報学部 浅野 晃 t分布 24 は t(n − 1) t =
¯ X − µ s2/n 自由度 の t分布にしたがう (n − 1) t統計量 (「スチューデントのt分布」という)
34 2025年年度春学期 統計学/ 関西大学総合情報学部 浅野 晃 t分布 24 は t(n − 1) t =
¯ X − µ s2/n 自由度 の t分布にしたがう (n − 1) t統計量 (「スチューデントのt分布」という)
34 2025年年度春学期 統計学/ 関西大学総合情報学部 浅野 晃 t分布 24 は t(n − 1) t =
¯ X − µ s2/n 自由度 の t分布にしたがう (n − 1) t統計量 (「スチューデントのt分布」という) 発見者ウィリアム・ゴセットのペンネーム
34 2025年年度春学期 統計学/ 関西大学総合情報学部 浅野 晃 正規分布(母分散不明)の場合の区間推定 25 テキストの例題 ある試験の点数の分布は正規分布であるとします。 この試験の受験者から,10人からなる標本を無作為抽出して, この人たちの点数を平均したところ50点でした。 この10人の不偏分散が52点であるとき,受験者全体の平均点 の95%信頼区間を求めてください。
34 2025年年度春学期 統計学/ 関西大学総合情報学部 浅野 晃 正規分布(母分散不明)の場合の区間推定 25 テキストの例題 ある試験の点数の分布は正規分布であるとします。 この試験の受験者から,10人からなる標本を無作為抽出して, この人たちの点数を平均したところ50点でした。 この10人の不偏分散が52点であるとき,受験者全体の平均点 の95%信頼区間を求めてください。
34 2025年年度春学期 統計学/ 関西大学総合情報学部 浅野 晃 正規分布(母分散不明)の場合の区間推定 25 テキストの例題 ある試験の点数の分布は正規分布であるとします。 この試験の受験者から,10人からなる標本を無作為抽出して, この人たちの点数を平均したところ50点でした。 この10人の不偏分散が52点であるとき,受験者全体の平均点 の95%信頼区間を求めてください。
前回は 「受験者全体の標準偏差が5点であるとわかっている」
34 2025年年度春学期 統計学/ 関西大学総合情報学部 浅野 晃 正規分布の場合の区間推定 26 例題 標本 をとりだす サイズ X1 ,
X2 , …, Xn n 母集団 (受験者全体) 母平均 μ 母平均 の95%信頼区間が知りたい μ 正規分布 と仮定する 母分散 がわか σ2 標本平均 ¯ X らないので,
34 2025年年度春学期 統計学/ 関西大学総合情報学部 浅野 晃 正規分布の場合の区間推定 26 例題 標本 をとりだす サイズ X1 ,
X2 , …, Xn n 母集団 (受験者全体) 母平均 μ 母平均 の95%信頼区間が知りたい μ 正規分布 と仮定する 母分散 がわか σ2 標本平均 ¯ X らないので, 不偏分散 で代用 s2
34 2025年年度春学期 統計学/ 関西大学総合情報学部 浅野 晃 t 0 t分布を用いた区間推定 27 は自由度 の t分布にしたがう (n
− 1) の 確率密度関数 t(n − 1) t = ¯ X − µ s2/n t(n − 1)
34 2025年年度春学期 統計学/ 関西大学総合情報学部 浅野 晃 t 0 t分布を用いた区間推定 27 は自由度 の t分布にしたがう (n
− 1) の 確率密度関数 t(n − 1) t = ¯ X − µ s2/n t(n − 1)
34 2025年年度春学期 統計学/ 関西大学総合情報学部 浅野 晃 t 0 t分布を用いた区間推定 27 この区間に入っている確率=95%とすると は自由度 の t分布にしたがう
(n − 1) の 確率密度関数 t(n − 1) が t = ¯ X − µ s2/n t = ¯ X − µ s2/n t(n − 1)
34 2025年年度春学期 統計学/ 関西大学総合情報学部 浅野 晃 t 0 t分布を用いた区間推定 27 この区間に入っている確率=95%とすると は自由度 の t分布にしたがう
(n − 1) の 確率密度関数 t(n − 1) が 面積=95% t = ¯ X − µ s2/n t = ¯ X − µ s2/n t(n − 1)
34 2025年年度春学期 統計学/ 関西大学総合情報学部 浅野 晃 t 0 t分布を用いた区間推定 27 この区間に入っている確率=95%とすると は自由度 の t分布にしたがう
(n − 1) の 確率密度関数 t(n − 1) が 面積=95% 境界の値はいくら? t = ¯ X − µ s2/n t = ¯ X − µ s2/n t(n − 1)
34 2025年年度春学期 統計学/ 関西大学総合情報学部 浅野 晃 t 0 t 0 t分布を用いた区間推定 28 面積=95% 面積=2.5%
(左右で5%)
34 2025年年度春学期 統計学/ 関西大学総合情報学部 浅野 晃 t 0 t 0 t分布を用いた区間推定 28 面積=95% 面積=2.5%
(左右で5%) 境界の値は自由度によってちがうので
34 2025年年度春学期 統計学/ 関西大学総合情報学部 浅野 晃 t 0 t 0 t分布を用いた区間推定 28 面積=95% 面積=2.5%
(左右で5%) 境界の値は自由度によってちがうので t0.025 (n − 1) としておく
34 2025年年度春学期 統計学/ 関西大学総合情報学部 浅野 晃 t 0 t 0 t分布を用いた区間推定 28 面積=95% 面積=2.5%
(左右で5%) 境界の値は自由度によってちがうので t0.025 (n − 1) としておく [上側2.5%点]
34 2025年年度春学期 統計学/ 関西大学総合情報学部 浅野 晃 t 0 t分布を用いた区間推定 29 この区間に入っている確率=95% が 面積=95% t
= ¯ X − µ s2/n t(n − 1)
34 2025年年度春学期 統計学/ 関西大学総合情報学部 浅野 晃 t 0 t分布を用いた区間推定 29 この区間に入っている確率=95% が 面積=95% t
= ¯ X − µ s2/n t(n − 1)
34 2025年年度春学期 統計学/ 関西大学総合情報学部 浅野 晃 t 0 t分布を用いた区間推定 29 この区間に入っている確率=95% が 面積=95% t
= ¯ X − µ s2/n t0.025 (n − 1) t(n − 1)
34 2025年年度春学期 統計学/ 関西大学総合情報学部 浅野 晃 t 0 t分布を用いた区間推定 29 この区間に入っている確率=95% が 面積=95% t
= ¯ X − µ s2/n t0.025 (n − 1) −t0.025 (n − 1) t(n − 1)
34 2025年年度春学期 統計学/ 関西大学総合情報学部 浅野 晃 t分布を用いた区間推定 30 が と の間に入っている確率が95% −t0.025 (n −
1) t0.025 (n − 1) t = ¯ X − µ s2/n
34 2025年年度春学期 統計学/ 関西大学総合情報学部 浅野 晃 t分布を用いた区間推定 30 式で書くと が と の間に入っている確率が95% −t0.025 (n
− 1) t0.025 (n − 1) t = ¯ X − µ s2/n
34 2025年年度春学期 統計学/ 関西大学総合情報学部 浅野 晃 t分布を用いた区間推定 30 式で書くと が と の間に入っている確率が95% −t0.025 (n
− 1) t0.025 (n − 1) t = ¯ X − µ s2/n P −t0.025(n − 1) ¯ X − µ s2/n t0.025(n − 1) = 0.95
34 2025年年度春学期 統計学/ 関西大学総合情報学部 浅野 晃 t分布を用いた区間推定 30 式で書くと が と の間に入っている確率が95% −t0.025 (n
− 1) t0.025 (n − 1) の式に直すと μ t = ¯ X − µ s2/n P −t0.025(n − 1) ¯ X − µ s2/n t0.025(n − 1) = 0.95
34 2025年年度春学期 統計学/ 関西大学総合情報学部 浅野 晃 t分布を用いた区間推定 30 式で書くと が と の間に入っている確率が95% −t0.025 (n
− 1) t0.025 (n − 1) の式に直すと μ t = ¯ X − µ s2/n P −t0.025(n − 1) ¯ X − µ s2/n t0.025(n − 1) = 0.95 P ¯ X − t0.025(n − 1) s2 n µ ¯ X + t0.025(n − 1) s2 n = 0.95
34 2025年年度春学期 統計学/ 関西大学総合情報学部 浅野 晃 t分布を用いた区間推定 31 P ¯ X − t0.025(n −
1) s2 n µ ¯ X + t0.025(n − 1) s2 n = 0.95
34 2025年年度春学期 統計学/ 関西大学総合情報学部 浅野 晃 t分布を用いた区間推定 31 の95% 信頼区間の下限 μ P ¯ X
− t0.025(n − 1) s2 n µ ¯ X + t0.025(n − 1) s2 n = 0.95
34 2025年年度春学期 統計学/ 関西大学総合情報学部 浅野 晃 t分布を用いた区間推定 31 の95% 信頼区間の下限 μ の95% 信頼区間の上限 μ
P ¯ X − t0.025(n − 1) s2 n µ ¯ X + t0.025(n − 1) s2 n = 0.95
34 2025年年度春学期 統計学/ 関西大学総合情報学部 浅野 晃 t分布を用いた区間推定 31 の95% 信頼区間の下限 μ の95% 信頼区間の上限 μ
例題では P ¯ X − t0.025(n − 1) s2 n µ ¯ X + t0.025(n − 1) s2 n = 0.95
34 2025年年度春学期 統計学/ 関西大学総合情報学部 浅野 晃 t分布を用いた区間推定 31 の95% 信頼区間の下限 μ の95% 信頼区間の上限 μ
例題では 標本平均=50 P ¯ X − t0.025(n − 1) s2 n µ ¯ X + t0.025(n − 1) s2 n = 0.95
34 2025年年度春学期 統計学/ 関西大学総合情報学部 浅野 晃 t分布を用いた区間推定 31 の95% 信頼区間の下限 μ の95% 信頼区間の上限 μ
例題では 標本平均=50 不偏分散=25 P ¯ X − t0.025(n − 1) s2 n µ ¯ X + t0.025(n − 1) s2 n = 0.95
34 2025年年度春学期 統計学/ 関西大学総合情報学部 浅野 晃 t分布を用いた区間推定 31 の95% 信頼区間の下限 μ の95% 信頼区間の上限 μ
例題では 標本平均=50 不偏分散=25 標本サイズ=10 P ¯ X − t0.025(n − 1) s2 n µ ¯ X + t0.025(n − 1) s2 n = 0.95
34 2025年年度春学期 統計学/ 関西大学総合情報学部 浅野 晃 t分布を用いた区間推定 31 の95% 信頼区間の下限 μ の95% 信頼区間の上限 μ
例題では 標本平均=50 不偏分散=25 標本サイズ=10 上側2.5%点 は? t0.025 (n − 1) P ¯ X − t0.025(n − 1) s2 n µ ¯ X + t0.025(n − 1) s2 n = 0.95
34 2025年年度春学期 統計学/ 関西大学総合情報学部 浅野 晃 t 0 t分布表 32 面積=2.5% t0.025 (n −
1)
34 2025年年度春学期 統計学/ 関西大学総合情報学部 浅野 晃 t 0 t分布表 32 面積=2.5% t0.025 (n −
1) 0.40 0.30 0.25 0.20 0.15 0.10 0.05 0.025 0.01 0.005 1 0.3249 0.7265 1.0000 1.3764 1.9626 3.0777 6.3138 12.7062 31.8205 63.6567 2 0.2887 0.6172 0.8165 1.0607 1.3862 1.8856 2.9200 4.3027 6.9646 9.9248 3 0.2767 0.5844 0.7649 0.9785 1.2498 1.6377 2.3534 3.1824 4.5407 5.8409 4 0.2707 0.5686 0.7407 0.9410 1.1896 1.5332 2.1318 2.7764 3.7469 4.6041 5 0.2672 0.5594 0.7267 0.9195 1.1558 1.4759 2.0150 2.5706 3.3649 4.0321 6 0.2648 0.5534 0.7176 0.9057 1.1342 1.4398 1.9432 2.4469 3.1427 3.7074 7 0.2632 0.5491 0.7111 0.8960 1.1192 1.4149 1.8946 2.3646 2.9980 3.4995 8 0.2619 0.5459 0.7064 0.8889 1.1081 1.3968 1.8595 2.3060 2.8965 3.3554 9 0.2610 0.5435 0.7027 0.8834 1.0997 1.3830 1.8331 2.2622 2.8214 3.2498
34 2025年年度春学期 統計学/ 関西大学総合情報学部 浅野 晃 t 0 t分布表 32 面積=2.5% t0.025 (n −
1) 0.40 0.30 0.25 0.20 0.15 0.10 0.05 0.025 0.01 0.005 1 0.3249 0.7265 1.0000 1.3764 1.9626 3.0777 6.3138 12.7062 31.8205 63.6567 2 0.2887 0.6172 0.8165 1.0607 1.3862 1.8856 2.9200 4.3027 6.9646 9.9248 3 0.2767 0.5844 0.7649 0.9785 1.2498 1.6377 2.3534 3.1824 4.5407 5.8409 4 0.2707 0.5686 0.7407 0.9410 1.1896 1.5332 2.1318 2.7764 3.7469 4.6041 5 0.2672 0.5594 0.7267 0.9195 1.1558 1.4759 2.0150 2.5706 3.3649 4.0321 6 0.2648 0.5534 0.7176 0.9057 1.1342 1.4398 1.9432 2.4469 3.1427 3.7074 7 0.2632 0.5491 0.7111 0.8960 1.1192 1.4149 1.8946 2.3646 2.9980 3.4995 8 0.2619 0.5459 0.7064 0.8889 1.1081 1.3968 1.8595 2.3060 2.8965 3.3554 9 0.2610 0.5435 0.7027 0.8834 1.0997 1.3830 1.8331 2.2622 2.8214 3.2498 自由度
34 2025年年度春学期 統計学/ 関西大学総合情報学部 浅野 晃 t 0 t分布表 32 面積=2.5% パーセントの値 t0.025 (n
− 1) 0.40 0.30 0.25 0.20 0.15 0.10 0.05 0.025 0.01 0.005 1 0.3249 0.7265 1.0000 1.3764 1.9626 3.0777 6.3138 12.7062 31.8205 63.6567 2 0.2887 0.6172 0.8165 1.0607 1.3862 1.8856 2.9200 4.3027 6.9646 9.9248 3 0.2767 0.5844 0.7649 0.9785 1.2498 1.6377 2.3534 3.1824 4.5407 5.8409 4 0.2707 0.5686 0.7407 0.9410 1.1896 1.5332 2.1318 2.7764 3.7469 4.6041 5 0.2672 0.5594 0.7267 0.9195 1.1558 1.4759 2.0150 2.5706 3.3649 4.0321 6 0.2648 0.5534 0.7176 0.9057 1.1342 1.4398 1.9432 2.4469 3.1427 3.7074 7 0.2632 0.5491 0.7111 0.8960 1.1192 1.4149 1.8946 2.3646 2.9980 3.4995 8 0.2619 0.5459 0.7064 0.8889 1.1081 1.3968 1.8595 2.3060 2.8965 3.3554 9 0.2610 0.5435 0.7027 0.8834 1.0997 1.3830 1.8331 2.2622 2.8214 3.2498 自由度
34 2025年年度春学期 統計学/ 関西大学総合情報学部 浅野 晃 t 0 t分布表 32 面積=2.5% パーセントの値 例題では n
− 1 = 9 t0.025 (n − 1) 0.40 0.30 0.25 0.20 0.15 0.10 0.05 0.025 0.01 0.005 1 0.3249 0.7265 1.0000 1.3764 1.9626 3.0777 6.3138 12.7062 31.8205 63.6567 2 0.2887 0.6172 0.8165 1.0607 1.3862 1.8856 2.9200 4.3027 6.9646 9.9248 3 0.2767 0.5844 0.7649 0.9785 1.2498 1.6377 2.3534 3.1824 4.5407 5.8409 4 0.2707 0.5686 0.7407 0.9410 1.1896 1.5332 2.1318 2.7764 3.7469 4.6041 5 0.2672 0.5594 0.7267 0.9195 1.1558 1.4759 2.0150 2.5706 3.3649 4.0321 6 0.2648 0.5534 0.7176 0.9057 1.1342 1.4398 1.9432 2.4469 3.1427 3.7074 7 0.2632 0.5491 0.7111 0.8960 1.1192 1.4149 1.8946 2.3646 2.9980 3.4995 8 0.2619 0.5459 0.7064 0.8889 1.1081 1.3968 1.8595 2.3060 2.8965 3.3554 9 0.2610 0.5435 0.7027 0.8834 1.0997 1.3830 1.8331 2.2622 2.8214 3.2498 自由度
34 2025年年度春学期 統計学/ 関西大学総合情報学部 浅野 晃 t 0 t分布表 32 面積=2.5% パーセントの値 例題では n
− 1 = 9 0.025 t0.025 (n − 1) 0.40 0.30 0.25 0.20 0.15 0.10 0.05 0.025 0.01 0.005 1 0.3249 0.7265 1.0000 1.3764 1.9626 3.0777 6.3138 12.7062 31.8205 63.6567 2 0.2887 0.6172 0.8165 1.0607 1.3862 1.8856 2.9200 4.3027 6.9646 9.9248 3 0.2767 0.5844 0.7649 0.9785 1.2498 1.6377 2.3534 3.1824 4.5407 5.8409 4 0.2707 0.5686 0.7407 0.9410 1.1896 1.5332 2.1318 2.7764 3.7469 4.6041 5 0.2672 0.5594 0.7267 0.9195 1.1558 1.4759 2.0150 2.5706 3.3649 4.0321 6 0.2648 0.5534 0.7176 0.9057 1.1342 1.4398 1.9432 2.4469 3.1427 3.7074 7 0.2632 0.5491 0.7111 0.8960 1.1192 1.4149 1.8946 2.3646 2.9980 3.4995 8 0.2619 0.5459 0.7064 0.8889 1.1081 1.3968 1.8595 2.3060 2.8965 3.3554 9 0.2610 0.5435 0.7027 0.8834 1.0997 1.3830 1.8331 2.2622 2.8214 3.2498 自由度
34 2025年年度春学期 統計学/ 関西大学総合情報学部 浅野 晃 t 0 t分布表 32 面積=2.5% パーセントの値 例題では n
− 1 = 9 0.025 t0.025 (9) = 2.262 t0.025 (n − 1) 0.40 0.30 0.25 0.20 0.15 0.10 0.05 0.025 0.01 0.005 1 0.3249 0.7265 1.0000 1.3764 1.9626 3.0777 6.3138 12.7062 31.8205 63.6567 2 0.2887 0.6172 0.8165 1.0607 1.3862 1.8856 2.9200 4.3027 6.9646 9.9248 3 0.2767 0.5844 0.7649 0.9785 1.2498 1.6377 2.3534 3.1824 4.5407 5.8409 4 0.2707 0.5686 0.7407 0.9410 1.1896 1.5332 2.1318 2.7764 3.7469 4.6041 5 0.2672 0.5594 0.7267 0.9195 1.1558 1.4759 2.0150 2.5706 3.3649 4.0321 6 0.2648 0.5534 0.7176 0.9057 1.1342 1.4398 1.9432 2.4469 3.1427 3.7074 7 0.2632 0.5491 0.7111 0.8960 1.1192 1.4149 1.8946 2.3646 2.9980 3.4995 8 0.2619 0.5459 0.7064 0.8889 1.1081 1.3968 1.8595 2.3060 2.8965 3.3554 9 0.2610 0.5435 0.7027 0.8834 1.0997 1.3830 1.8331 2.2622 2.8214 3.2498 自由度
34 2025年年度春学期 統計学/ 関西大学総合情報学部 浅野 晃 t分布を用いた区間推定 33 P ¯ X − t0.025(n −
1) s2 n µ ¯ X + t0.025(n − 1) s2 n = 0.95
34 2025年年度春学期 統計学/ 関西大学総合情報学部 浅野 晃 t分布を用いた区間推定 33 例題では P ¯ X − t0.025(n
− 1) s2 n µ ¯ X + t0.025(n − 1) s2 n = 0.95
34 2025年年度春学期 統計学/ 関西大学総合情報学部 浅野 晃 t分布を用いた区間推定 33 例題では 標本平均=50 P ¯ X −
t0.025(n − 1) s2 n µ ¯ X + t0.025(n − 1) s2 n = 0.95
34 2025年年度春学期 統計学/ 関西大学総合情報学部 浅野 晃 t分布を用いた区間推定 33 例題では 標本平均=50 不偏分散=25 P ¯ X
− t0.025(n − 1) s2 n µ ¯ X + t0.025(n − 1) s2 n = 0.95
34 2025年年度春学期 統計学/ 関西大学総合情報学部 浅野 晃 t分布を用いた区間推定 33 例題では 標本平均=50 不偏分散=25 標本サイズ=10 P ¯
X − t0.025(n − 1) s2 n µ ¯ X + t0.025(n − 1) s2 n = 0.95
34 2025年年度春学期 統計学/ 関西大学総合情報学部 浅野 晃 t分布を用いた区間推定 33 例題では 標本平均=50 不偏分散=25 標本サイズ=10 P ¯
X − t0.025(n − 1) s2 n µ ¯ X + t0.025(n − 1) s2 n = 0.95
34 2025年年度春学期 統計学/ 関西大学総合情報学部 浅野 晃 t分布を用いた区間推定 33 例題では 標本平均=50 不偏分散=25 標本サイズ=10 P ¯
X − t0.025(n − 1) s2 n µ ¯ X + t0.025(n − 1) s2 n = 0.95 t0.025 (10 − 1) = 2.262
34 2025年年度春学期 統計学/ 関西大学総合情報学部 浅野 晃 t分布を用いた区間推定 33 例題では 標本平均=50 不偏分散=25 標本サイズ=10 P ¯
X − t0.025(n − 1) s2 n µ ¯ X + t0.025(n − 1) s2 n = 0.95 t0.025 (10 − 1) = 2.262 計算すると,例題の答は 「46.4以上53.6以下」( [46.4, 53.6] ) の95% 信頼区間の下限 μ の95% 信頼区間の上限 μ
34 2025年年度春学期 統計学/ 関西大学総合情報学部 浅野 晃 前回の例題と比較 34 不偏分散は,母分散の推定量なので,不確か どちらも 標本平均=50 不偏分散=25 のとき 標本サイズ=10 母分散=25 のとき
母平均の95%信頼区間は [46.9, 53.1] [46.4, 53.6] →信頼区間が広い