Upgrade to Pro — share decks privately, control downloads, hide ads and more …

2026 Introduction to University Math 03

Avatar for kanaya kanaya
April 21, 2026

2026 Introduction to University Math 03

Avatar for kanaya

kanaya

April 21, 2026

More Decks by kanaya

Other Decks in Education

Transcript

  1. pineapple.cc How to take notes w ܗࣜΛܾΊΔ w ݟग़͠Λ͚ͭΔ w

    ϖʔδʹςʔϚ w Օ৚ॻ͖ʹ͢Δ w ༨നΛ࢒͢ ϊʔτͷऔΓํ Life Hacker
  2. pineapple.cc ߨٛͷਐΊํʢୈճʙୈճʣ Agenda (Day 2 to Day 8) w େֶ਺ֶ΁ͷೖ໳Introduction

    to University Mathematics ⭐⭐ w ਺ֶΛ޷͖ʹͳΔ࿩Stories about math that makes you fun ⭐ w ܭࢉػՊֶʢ৘ใՊֶʣ΁ͷڮ౉͠A bridge to computer science ⭐⭐⭐
  3. pineapple.cc ධՁ Credits w ग़੮Attendance w ΫΠζͱϛχϨϙʔτQuiz and mini report

    w Ϩϙʔτʢ೚ҙʣReport (optional) w ఺ʢ2ʣ఺ʢ2ʣ50 points (Q1) + 50 points (Q2)
  4. pineapple.cc ࣭໰ʢ೥݄೔ʣ👉-"$4 Question 02 (14th April 2026) 👉LACS w ͳͥະ஌਺ΛYͰදݱ͢ΔͷʁWhy

    is ‘x’ unknown? w 1⃣ΞϥϏΞޠͷʮະ஌ͷ΋ͷʯͷൃԻʹରԠ͢Δจࣈ͕εϖΠϯޠʹແ͔͔ͬͨ ΒBecause there wasn’t corresponding letter in Spanish. w 2⃣จষͰ͋·Γ࢖Θͳ͍จࣈ͔ͩΒBecause the letter ‘x’ is less popular than average. w 3⃣͔͕ͨͪ❌ͱࣅ͍ͯΔ͔ΒBecause the letter ‘x’ looks like a cross. w 4⃣ͦͷଞɾΘ͔Βͳ͍Other/Don’t know.
  5. pineapple.cc ࣭໰ʢ೥݄೔ʣ👉-"$4 Question 02 (14th April 2026) 👉LACS w ͳͥະ஌਺ΛYͰදݱ͢ΔͷʁWhy

    is ‘x’ unknown? w 1⃣ΞϥϏΞޠͷʮະ஌ͷ΋ͷʯͷൃԻʹରԠ͢Δจࣈ͕εϖΠϯޠʹແ͔͔ͬͨ ΒBecause there wasn’t corresponding letter in Spanish. w 2⃣จষͰ͋·Γ࢖Θͳ͍จࣈ͔ͩΒBecause the letter ‘x’ is less popular than average. w 3⃣͔͕ͨͪ❌ͱࣅ͍ͯΔ͔ΒBecause the letter ‘x’ looks like a cross. w 4⃣ͦͷଞɾΘ͔Βͳ͍Other/Don’t know.
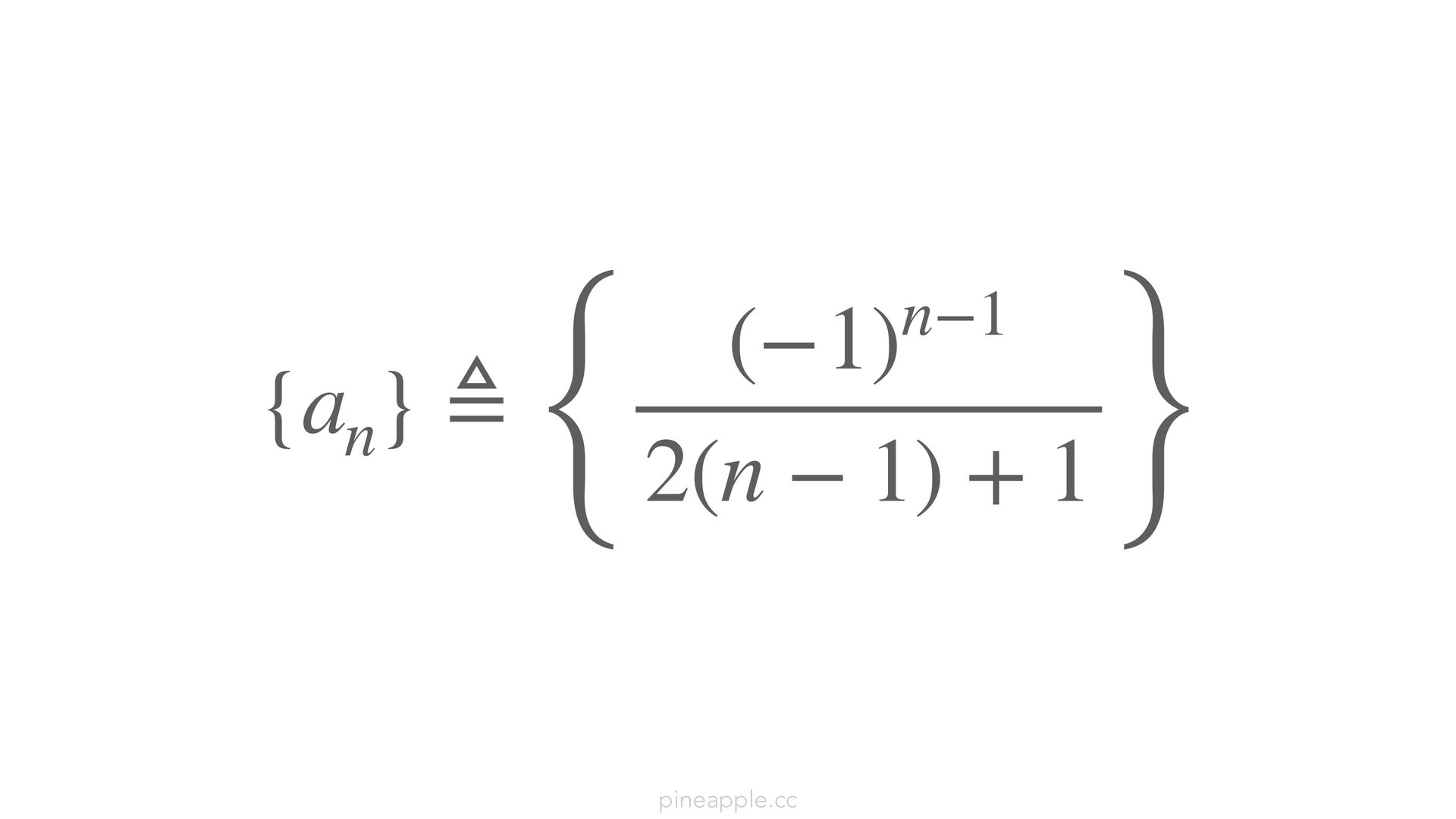
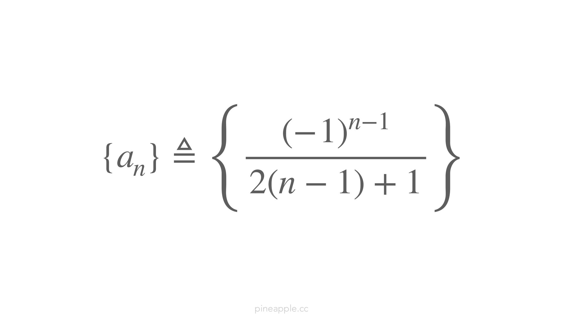
  6. pineapple.cc {an } ≜ {a1 , a2 , a3 ,

    …} a ≜ [a1 , a2 , a3 , …]
  7. pineapple.cc {an } ≜ {1, − 1 3 , 1

    5 , − 1 7 , 1 9 , …}
  8. pineapple.cc {an } ≜ {1, − 1 3 , 1

    5 , − 1 7 , 1 9 , …}
  9. pineapple.cc 1 − 1 3 + 1 5 − 1

    7 + 1 9 − … = π 4
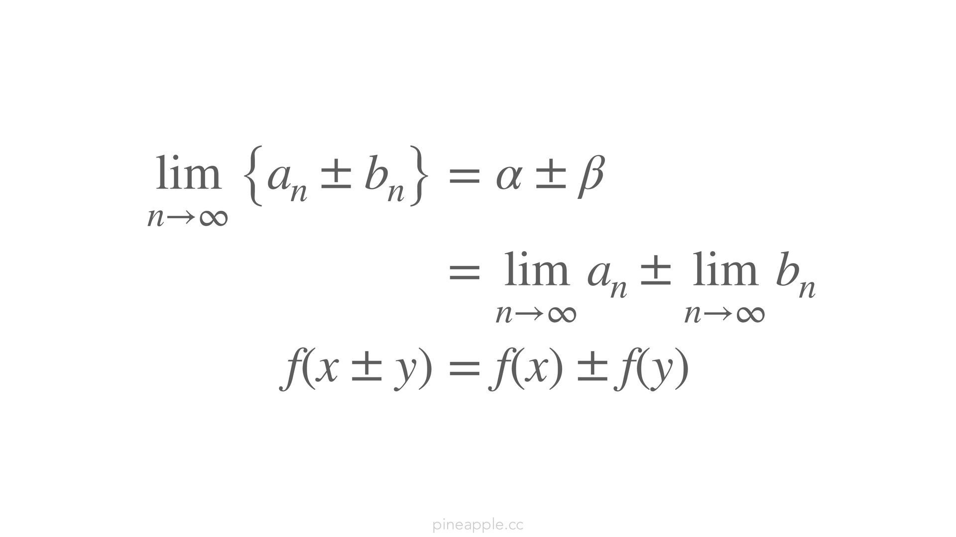
  10. pineapple.cc lim n→∞ kan = kα lim n→∞ {an ±

    bn} = α ± β lim n→∞ an bn = αβ lim n→∞ an bn = α β ͨͩ͠β ≠ 0
  11. pineapple.cc lim n→∞ {an ± bn} = α ± β

    = lim n→∞ an ± lim n→∞ bn f(x ± y) = f(x) ± f(y)
  12. pineapple.cc 1 : 1 1 + 5 2 : 1

    2 : 1 1 + 2 : 1 3 + 13 2 : 1 n + n2 + 4 2 : 1
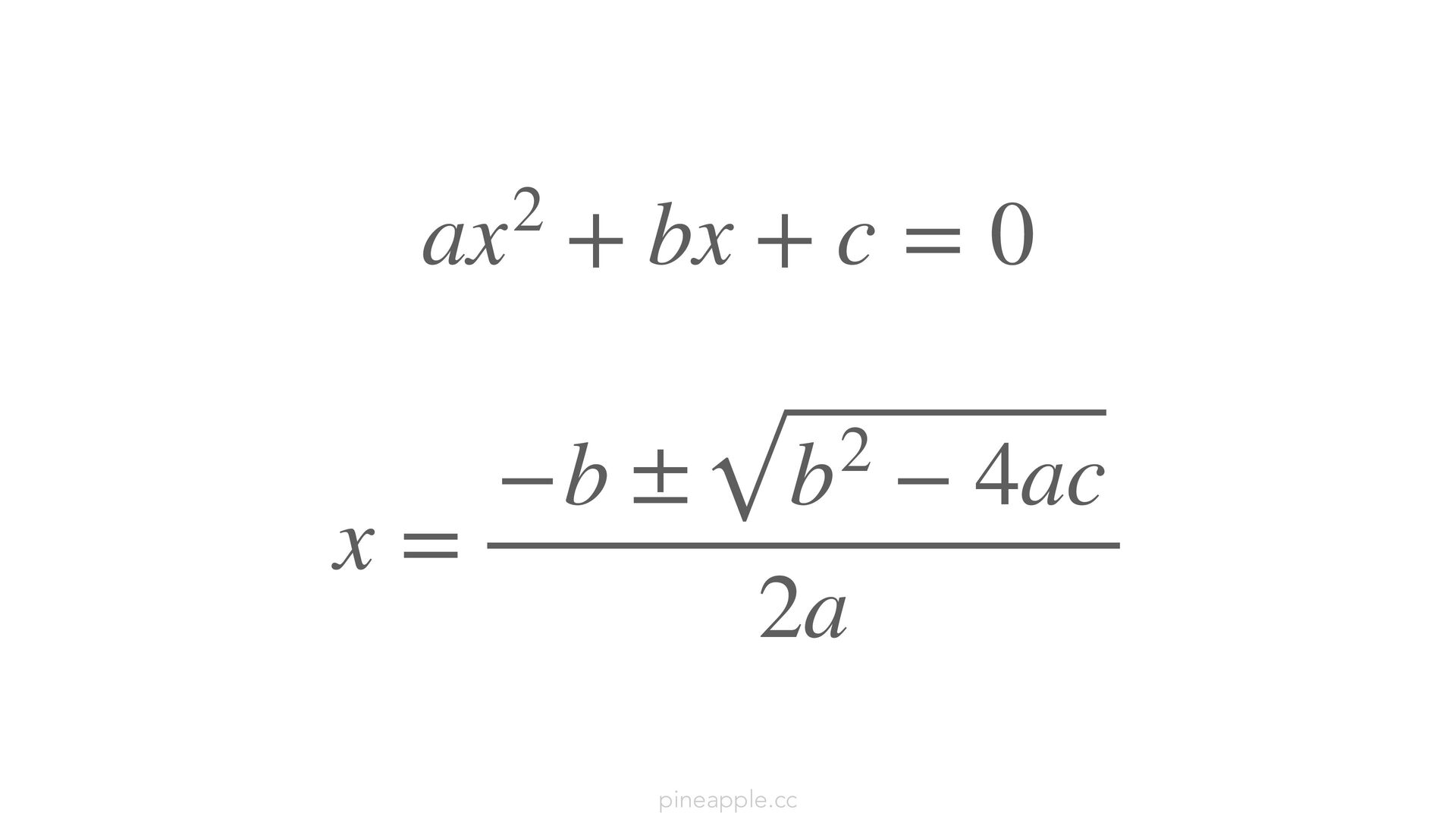
  13. pineapple.cc ax2 + bx + c = 0 x =

    −b ± b2 − 4ac 2a
  14. pineapple.cc x = − b ± b2 − c b

    > 0, c > 0, b ≫ c What if…
  15. pineapple.cc ࣭໰ʢ೥݄೔ʣ Question 03 (21st April 2026) w ϑΟϘφον਺ͷྡ઀߲ͷ঎ͷۃݶ͸ʁWhat is

    the limit of consecutive quotations of the Fibonacci sequence? w 1⃣ԫۚൺ ʜ Golden ratio. w 2⃣നۜൺ ʜ Silver ratio. w 3⃣੨ಔൺ ʜ Bronze ratio. w 4⃣ͦͷଞɾΘ͔Βͳ͍Other/Don’t know.