Upgrade to Pro
— share decks privately, control downloads, hide ads and more …
Speaker Deck
Features
Speaker Deck
PRO
Sign in
Sign up for free
Search
Search
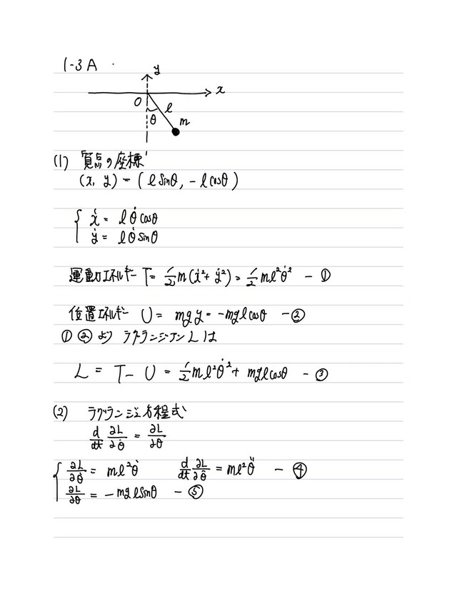
令和3年京都大学大学院物理過去問1_3A
Search
Sponsored
·
Your Podcast. Everywhere. Effortlessly.
Share. Educate. Inspire. Entertain. You do you. We'll handle the rest.
→
kamakiri1225
September 22, 2021
Science
0
550
令和3年京都大学大学院物理過去問1_3A
kamakiri1225
September 22, 2021
Tweet
Share
More Decks by kamakiri1225
See All by kamakiri1225
【技術書典18】OpenFOAM 自宅で深める流体解析の基礎と応用 (1)
kamakiri1225
0
350
OpenRadiossSafetyダミーモデルの紹介
kamakiri1225
0
250
20230518数値流体解析の基礎
kamakiri1225
0
89
20241109_OpenRadiossを用いたエアバッグ 解析のモデル構築
kamakiri1225
0
750
【技術書典17】OpenFOAM(自宅で極める流体解析)2次元円柱まわりの流れ
kamakiri1225
0
2.3k
20201205_final_report_水の物性_光の速度計算.pdf
kamakiri1225
0
39
20201208_final_report_光の速度計算.pdf
kamakiri1225
0
28
第100回オープンCAE勉強会@関西
kamakiri1225
0
400
【技術書典16】OpenFOAM(自宅ではじめる流体解析)
kamakiri1225
0
1.7k
Other Decks in Science
See All in Science
検索と推論タスクに関する論文の紹介
ynakano
1
150
KH Coderチュートリアル(スライド版)
koichih
1
58k
データベース04: SQL (1/3) 単純質問 & 集約演算
trycycle
PRO
0
1.1k
次代のデータサイエンティストへ~スキルチェックリスト、タスクリスト更新~
datascientistsociety
PRO
2
28k
Hakonwa-Quaternion
hiranabe
1
180
Distributional Regression
tackyas
0
340
AIによる科学の加速: 各領域での革新と共創の未来
masayamoriofficial
0
420
(2025) Balade en cyclotomie
mansuy
0
450
Vibecoding for Product Managers
ibknadedeji
0
130
ド文系だった私が、 KaggleのNCAAコンペでソロ金取れるまで
wakamatsu_takumu
2
1.9k
タンパク質間相互作⽤を利⽤した⼈⼯知能による新しい薬剤遺伝⼦-疾患相互作⽤の同定
tagtag
PRO
0
140
安心・効率的な医療現場の実現へ ~オンプレAI & ノーコードワークフローで進める業務改革~
siyoo
0
460
Featured
See All Featured
30 Presentation Tips
portentint
PRO
1
230
Color Theory Basics | Prateek | Gurzu
gurzu
0
200
HU Berlin: Industrial-Strength Natural Language Processing with spaCy and Prodigy
inesmontani
PRO
0
230
Building a Modern Day E-commerce SEO Strategy
aleyda
45
8.7k
Why Our Code Smells
bkeepers
PRO
340
58k
Cheating the UX When There Is Nothing More to Optimize - PixelPioneers
stephaniewalter
287
14k
The innovator’s Mindset - Leading Through an Era of Exponential Change - McGill University 2025
jdejongh
PRO
1
96
Mobile First: as difficult as doing things right
swwweet
225
10k
技術選定の審美眼(2025年版) / Understanding the Spiral of Technologies 2025 edition
twada
PRO
117
110k
CSS Pre-Processors: Stylus, Less & Sass
bermonpainter
359
30k
Technical Leadership for Architectural Decision Making
baasie
2
250
Measuring & Analyzing Core Web Vitals
bluesmoon
9
760
Transcript
None
None