$30 off During Our Annual Pro Sale. View Details »
Speaker Deck
Features
Speaker Deck
PRO
Sign in
Sign up for free
Search
Search
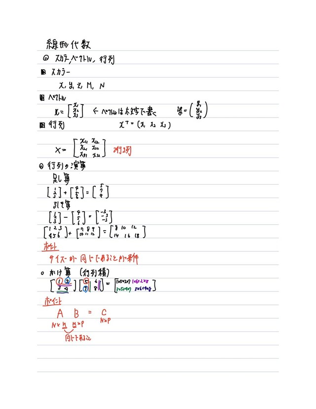
重回帰分析メモ
Search
kamakiri1225
March 03, 2021
Science
0
210
重回帰分析メモ
kamakiri1225
March 03, 2021
Tweet
Share
More Decks by kamakiri1225
See All by kamakiri1225
【技術書典18】OpenFOAM 自宅で深める流体解析の基礎と応用 (1)
kamakiri1225
0
300
OpenRadiossSafetyダミーモデルの紹介
kamakiri1225
0
230
20230518数値流体解析の基礎
kamakiri1225
0
87
20241109_OpenRadiossを用いたエアバッグ 解析のモデル構築
kamakiri1225
0
710
【技術書典17】OpenFOAM(自宅で極める流体解析)2次元円柱まわりの流れ
kamakiri1225
0
2.1k
20201205_final_report_水の物性_光の速度計算.pdf
kamakiri1225
0
36
20201208_final_report_光の速度計算.pdf
kamakiri1225
0
25
第100回オープンCAE勉強会@関西
kamakiri1225
0
370
【技術書典16】OpenFOAM(自宅ではじめる流体解析)
kamakiri1225
0
1.6k
Other Decks in Science
See All in Science
Text-to-SQLの既存の評価指標を問い直す
gotalab555
1
140
データベース15: ビッグデータ時代のデータベース
trycycle
PRO
0
400
白金鉱業Meetup_Vol.20 効果検証ことはじめ / Introduction to Impact Evaluation
brainpadpr
2
1.5k
mOrganic™ Holdings, LLC.
hyperlocalnetwork
0
210
Lean4による汎化誤差評価の形式化
milano0017
1
390
DMMにおけるABテスト検証設計の工夫
xc6da
1
1.4k
People who frequently use ChatGPT for writing tasks are accurate and robust detectors of AI-generated text
rudorudo11
0
170
白金鉱業Vol.21【初学者向け発表枠】身近な例から学ぶ数理最適化の基礎 / Learning the Basics of Mathematical Optimization Through Everyday Examples
brainpadpr
1
460
データベース05: SQL(2/3) 結合質問
trycycle
PRO
0
860
論文紹介 音源分離:SCNET SPARSE COMPRESSION NETWORK FOR MUSIC SOURCE SEPARATION
kenmatsu4
0
460
会社でMLモデルを作るとは @電気通信大学 データアントレプレナーフェロープログラム
yuto16
1
440
Rashomon at the Sound: Reconstructing all possible paleoearthquake histories in the Puget Lowland through topological search
cossatot
0
200
Featured
See All Featured
Mozcon NYC 2025: Stop Losing SEO Traffic
samtorres
0
75
B2B Lead Gen: Tactics, Traps & Triumph
marketingsoph
0
30
I Don’t Have Time: Getting Over the Fear to Launch Your Podcast
jcasabona
34
2.6k
Making the Leap to Tech Lead
cromwellryan
135
9.7k
Dominate Local Search Results - an insider guide to GBP, reviews, and Local SEO
greggifford
PRO
0
11
Fireside Chat
paigeccino
41
3.8k
How to Think Like a Performance Engineer
csswizardry
28
2.4k
世界の人気アプリ100個を分析して見えたペイウォール設計の心得
akihiro_kokubo
PRO
63
35k
10 Git Anti Patterns You Should be Aware of
lemiorhan
PRO
659
61k
JAMstack: Web Apps at Ludicrous Speed - All Things Open 2022
reverentgeek
1
290
Keith and Marios Guide to Fast Websites
keithpitt
413
23k
Marketing Yourself as an Engineer | Alaka | Gurzu
gurzu
0
87
Transcript
None
None
None
None
None
None
None
None
None